Официальное опубликование правовых актов
ОФИЦИАЛЬНОЕ ОПУБЛИКОВАНИЕ
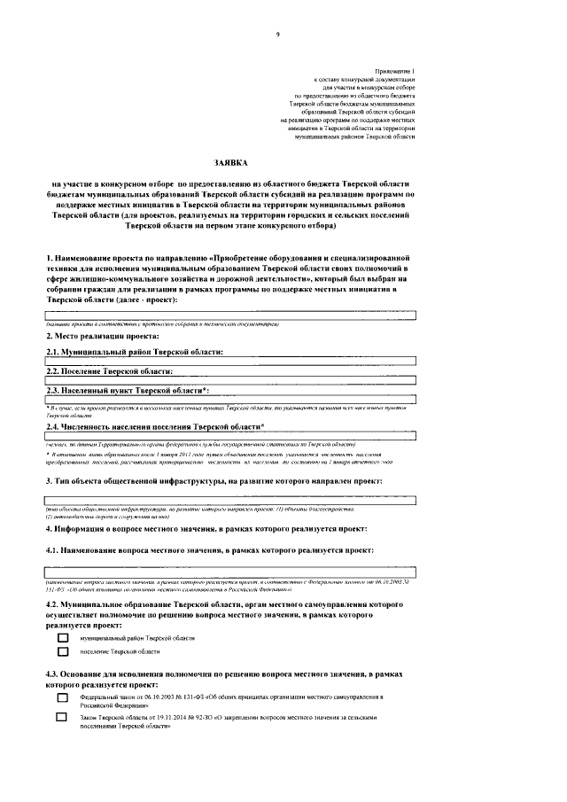
Приказ Министерства финансов Тверской области от 27.07.2020 № 32-нп
"О внесении изменений в приказ Министерства финансов Тверской области от 19.02.2016 года № 3-нп"
Номер опубликования: 6901202007310002
Дата опубликования: 31.07.2020
Страница №9 из 72:
Увеличить