Официальное опубликование правовых актов
ОФИЦИАЛЬНОЕ ОПУБЛИКОВАНИЕ
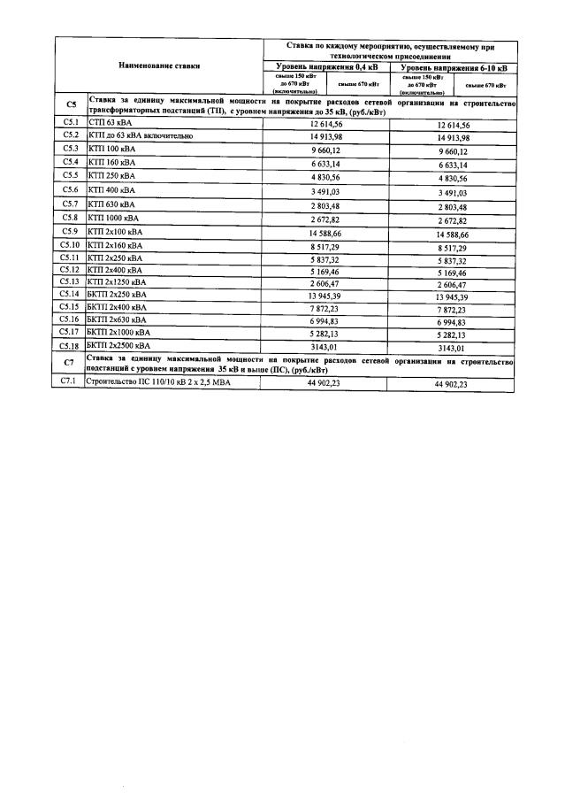
Приказ Главного управления "Региональная энергетическая комиссия" Тверской области от 12.12.2019 № 249-нп
"Об установлении ставок платы за технологическое присоединение к распределительным электрическим сетям территориальных сетевых организаций Тверской области на 2020 год"
Номер опубликования: 6901201912120016
Дата опубликования: 12.12.2019
Страница №7 из 10:
Увеличить