Официальное опубликование правовых актов
ОФИЦИАЛЬНОЕ ОПУБЛИКОВАНИЕ
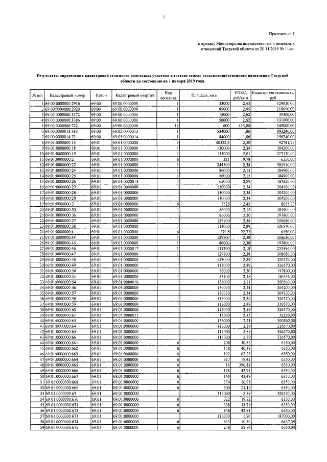
Приказ Министерства имущественных и земельных отношений Тверской области от 20.11.2019 № 11-нп
"Об утверждении результатов определения кадастровой стоимости земельных участков в составе земель сельскохозяйственного назначения Тверской области"
Номер опубликования: 6901201911250001
Дата опубликования: 25.11.2019
Страница №3 из 3531:
Увеличить