Официальное опубликование правовых актов
ОФИЦИАЛЬНОЕ ОПУБЛИКОВАНИЕ
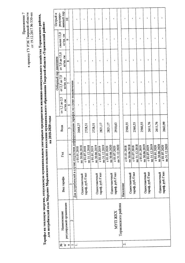
Приказ Главного управления "Региональная энергетическая комиссия" Тверской области от 19.12.2017 № 530-нп
"О тарифах на тепловую энергию, отпускаемую муниципальным унитарным предприятием жилищно-коммунального хозяйства Торжокского района, для потребителей муниципального образования Тверской области "Торжокский район" на 2018 – 2020 годы"
Номер опубликования: 6901201712220006
Дата опубликования: 22.12.2017
Страница №8 из 15:
Увеличить