Приказ Главного управления "Региональная энергетическая комиссия" Тверской области от 19.12.2017 № 470-нп
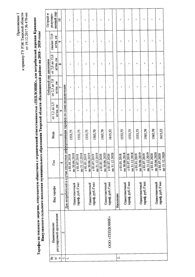
"О тарифах на тепловую энергию, отпускаемую обществом с ограниченной ответственностью "ТЕПЛОВИК", для потребителей деревни Кривцово Никулинского сельского поселения муниципального образования Тверской области "Калининский район" на 2018 – 2020 годы"
"О тарифах на тепловую энергию, отпускаемую обществом с ограниченной ответственностью "ТЕПЛОВИК", для потребителей деревни Кривцово Никулинского сельского поселения муниципального образования Тверской области "Калининский район" на 2018 – 2020 годы"
Номер опубликования: 6901201712210156
Дата опубликования:
21.12.2017
