Официальное опубликование правовых актов
ОФИЦИАЛЬНОЕ ОПУБЛИКОВАНИЕ
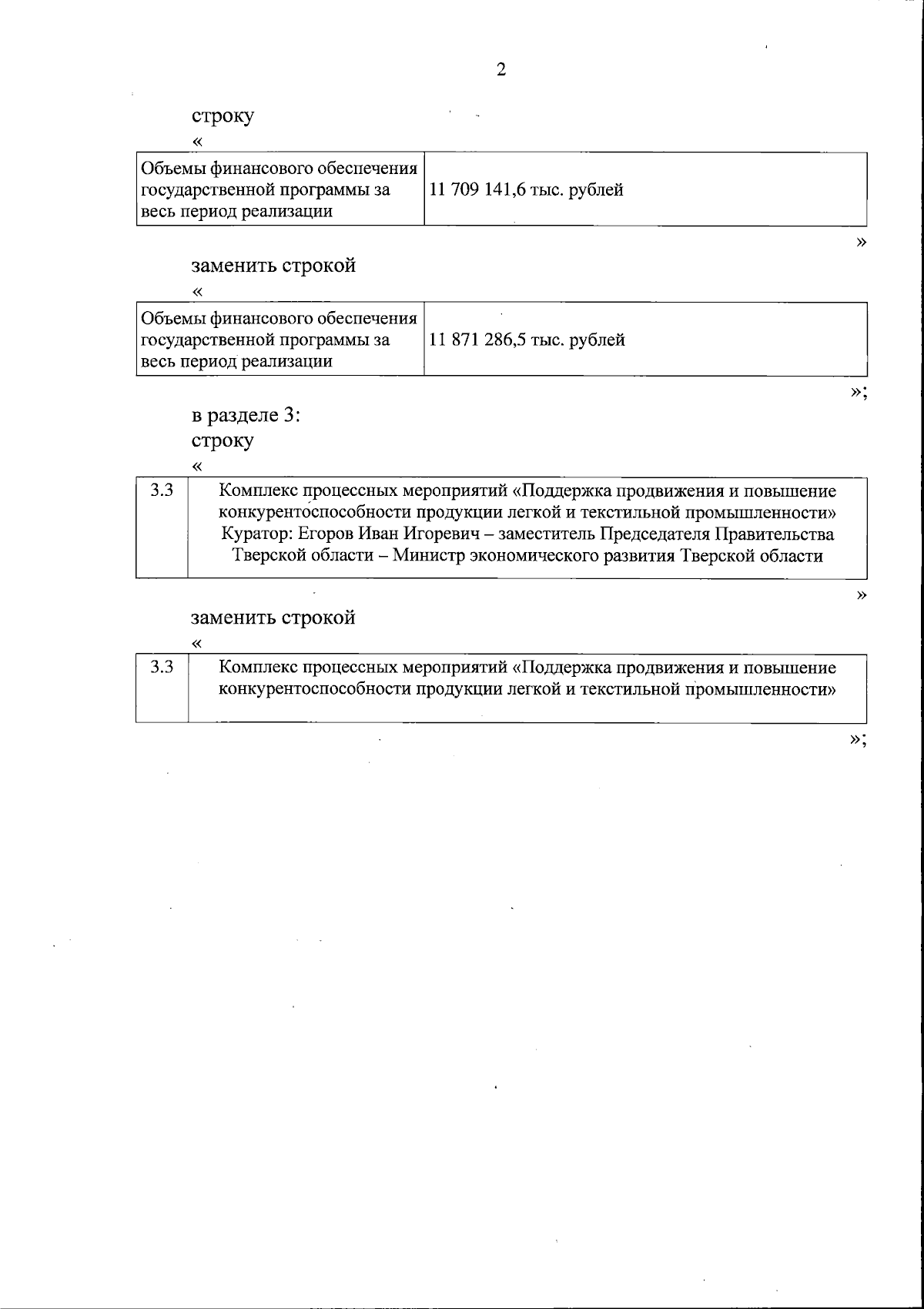
Постановление Правительства Тверской области от 24.12.2025 № 739-пп
"О внесении изменений в постановление Правительства Тверской области от 19.06.2024 № 280-пп"
Номер опубликования: 6900202512240014
Дата опубликования: 24.12.2025
Страница №2 из 33:
Увеличить