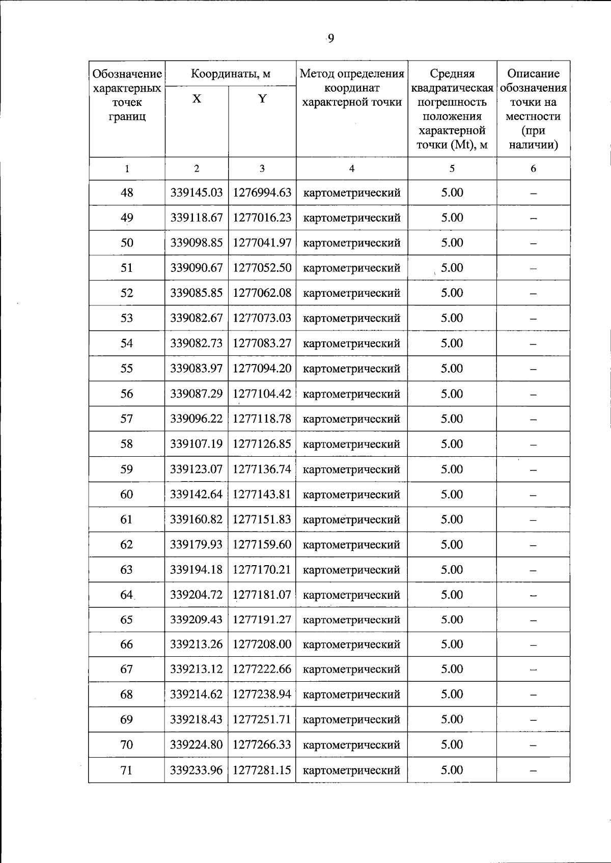
Постановление Губернатора Тверской области от 24.10.2025 № 32-пг
"Об охранной зоне особо охраняемой природной территории регионального значения – памятника природы "Остров Дубовый"
"Об охранной зоне особо охраняемой природной территории регионального значения – памятника природы "Остров Дубовый"
Номер опубликования: 6900202510270009
Дата опубликования:
27.10.2025
