Официальное опубликование правовых актов
ОФИЦИАЛЬНОЕ ОПУБЛИКОВАНИЕ
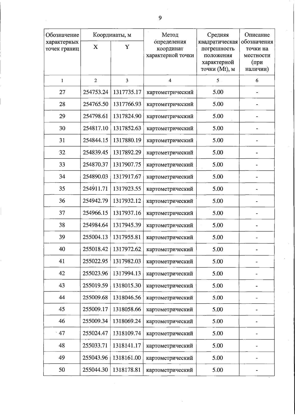
Постановление Правительства Тверской области от 03.10.2025 № 554-пп
"Об особо охраняемой природной территории регионального значения – государственном природном заказнике "Болото Желомустово"
Номер опубликования: 6900202510080012
Дата опубликования: 08.10.2025
Страница №9 из 19:
Увеличить