Официальное опубликование правовых актов
ОФИЦИАЛЬНОЕ ОПУБЛИКОВАНИЕ
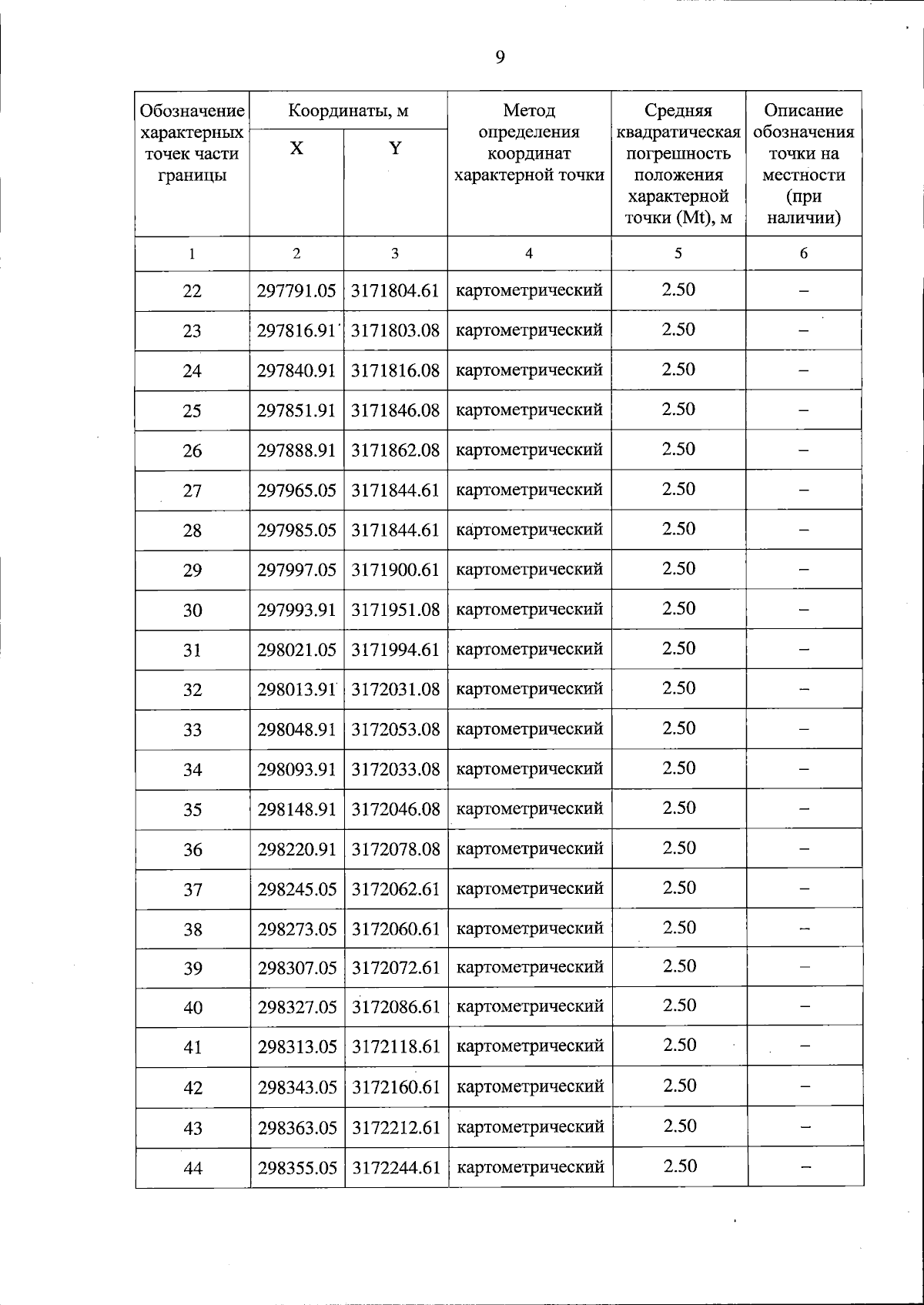
Постановление Правительства Тверской области от 03.10.2025 № 550-пп
"Об особо охраняемой природной территории регионального значения – государственном природном заказнике "Болото Яковлевское"
Номер опубликования: 6900202510080001
Дата опубликования: 08.10.2025
Страница №9 из 26:
Увеличить