Официальное опубликование правовых актов
ОФИЦИАЛЬНОЕ ОПУБЛИКОВАНИЕ
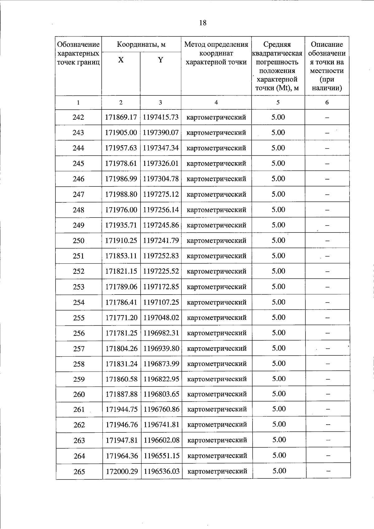
Постановление Правительства Тверской области от 12.09.2025 № 487-пп
"Об утверждении Положения об особо охраняемой природной территории регионального значения – государственном природном заказнике "Болото Сморгун"
Номер опубликования: 6900202509150025
Дата опубликования: 15.09.2025
Страница №18 из 23:
Увеличить