Официальное опубликование правовых актов
ОФИЦИАЛЬНОЕ ОПУБЛИКОВАНИЕ
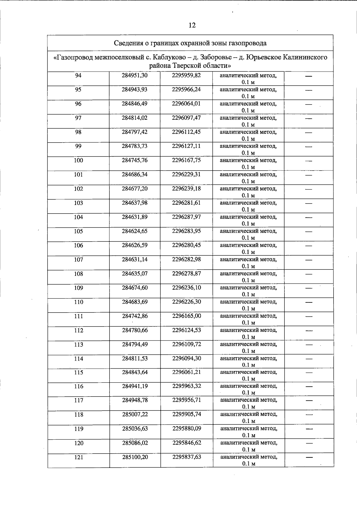
Постановление Правительства Тверской области от 28.03.2025 № 175-пп
"Об установлении охранных зон газопроводов"
Номер опубликования: 6900202504010003
Дата опубликования: 01.04.2025
Страница №12 из 154:
Увеличить