Официальное опубликование правовых актов
ОФИЦИАЛЬНОЕ ОПУБЛИКОВАНИЕ
Постановление Правительства Тверской области от 26.02.2025 № 110-пп
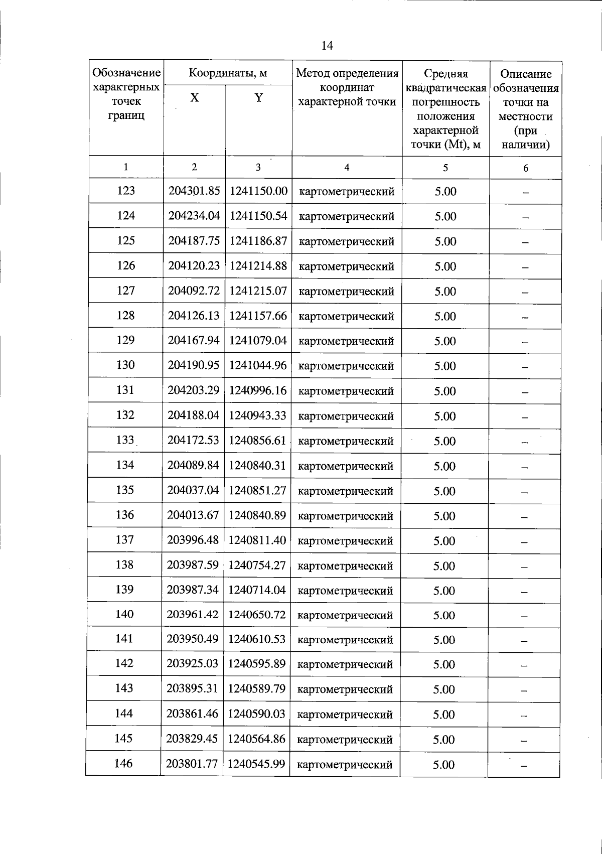
"Об утверждении Положения об особо охраняемой природной территории регионального значения – государственном природном заказнике "Болото Мох Пушняк"
Номер опубликования: 6900202502270016
Дата опубликования: 27.02.2025
Страница №14 из 31:
Увеличить