Официальное опубликование правовых актов
ОФИЦИАЛЬНОЕ ОПУБЛИКОВАНИЕ
Распоряжение Правительства Тверской области от 06.02.2025 № 144-рп
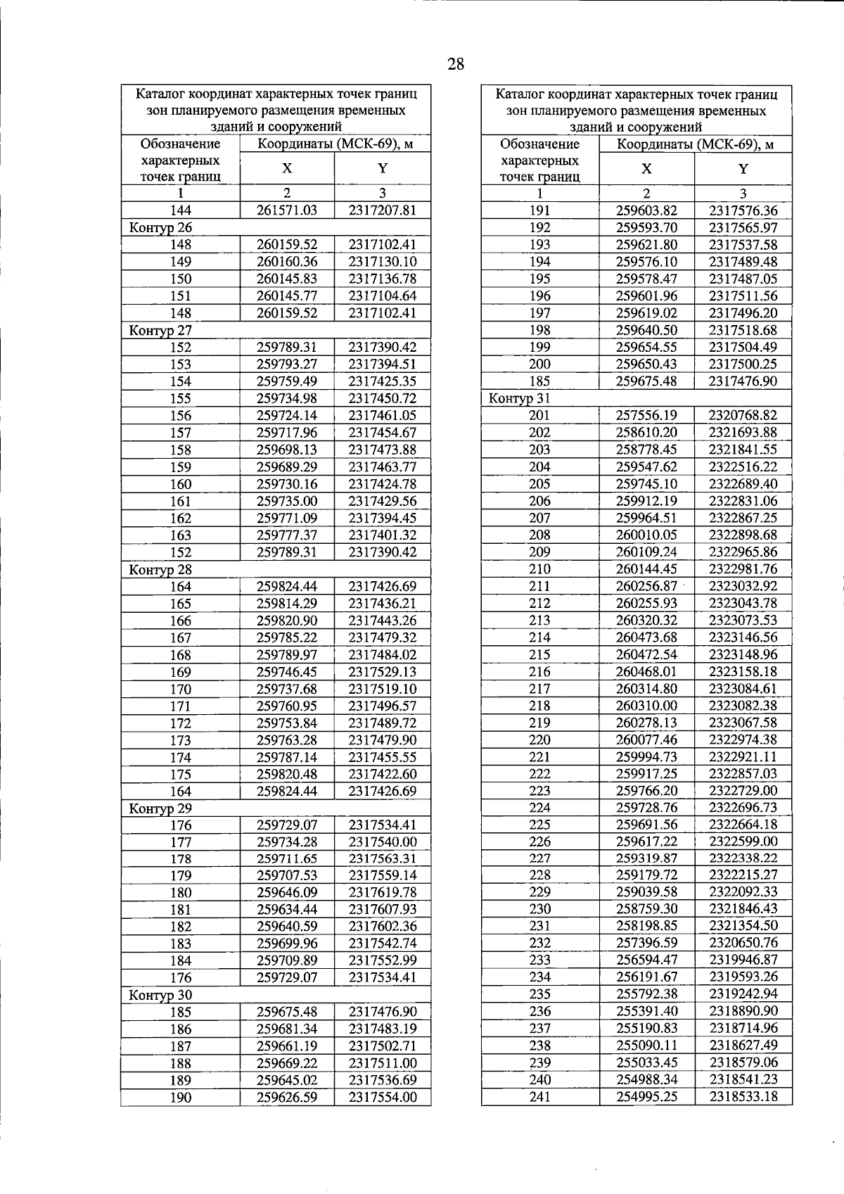
"О внесении изменений в документацию по планировке территории линейного объекта "Организация пассажирского сообщения от станции Москва-Октябрьская-Пассажирская до проектируемого ТПУ "Завидово" через остановочный пункт Путепроводная Октябрьской железной дороги"
Номер опубликования: 6900202502070004
Дата опубликования: 07.02.2025
Страница №28 из 147:
Увеличить