Официальное опубликование правовых актов
ОФИЦИАЛЬНОЕ ОПУБЛИКОВАНИЕ
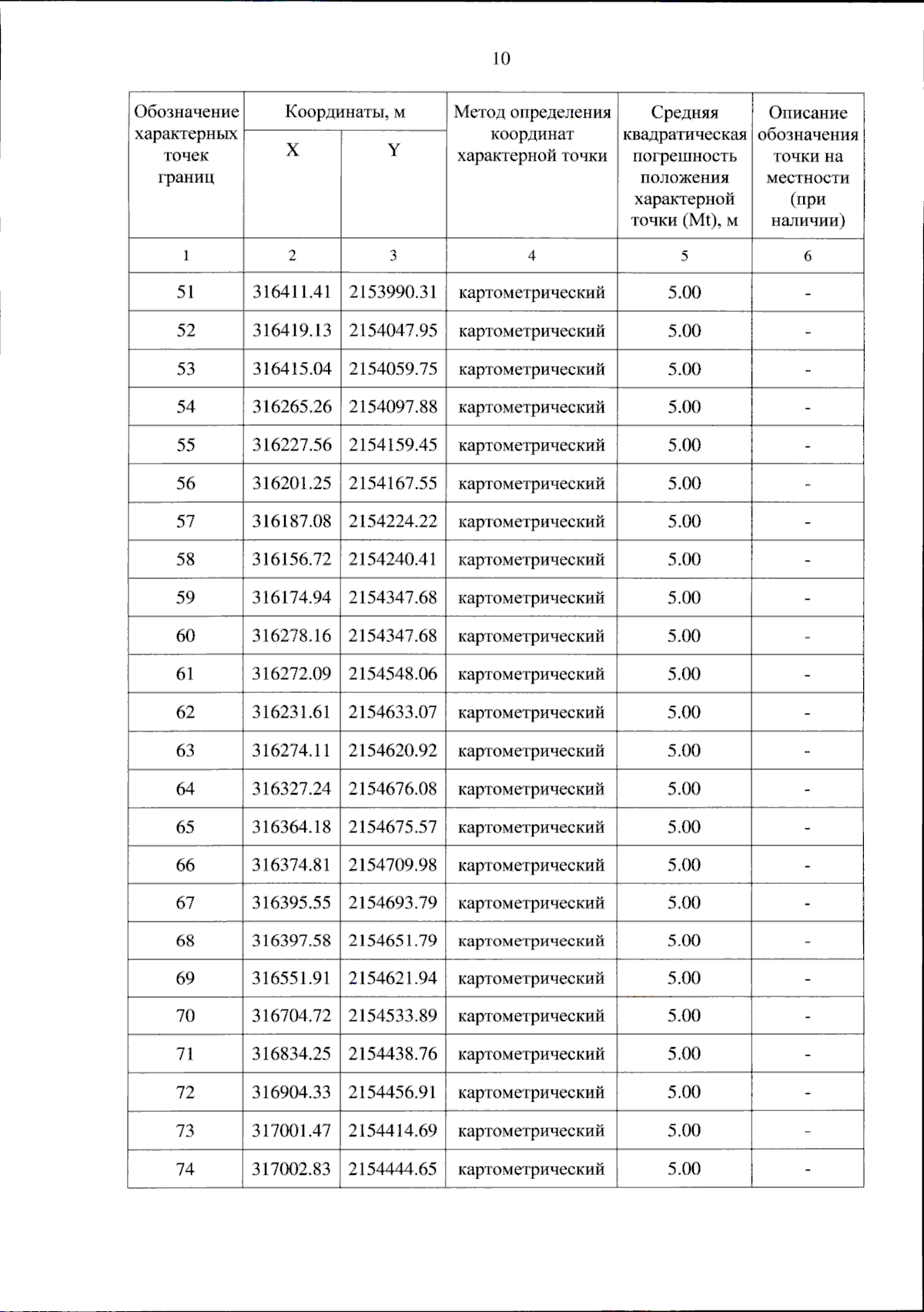
Постановление Правительства Тверской области от 23.01.2025 № 15-пп
"Об особо охраняемой природной территории регионального значения – государственном природном заказнике "Болото Демьянковский Мох"
Номер опубликования: 6900202501240016
Дата опубликования: 24.01.2025
Страница №10 из 13:
Увеличить