Официальное опубликование правовых актов
ОФИЦИАЛЬНОЕ ОПУБЛИКОВАНИЕ
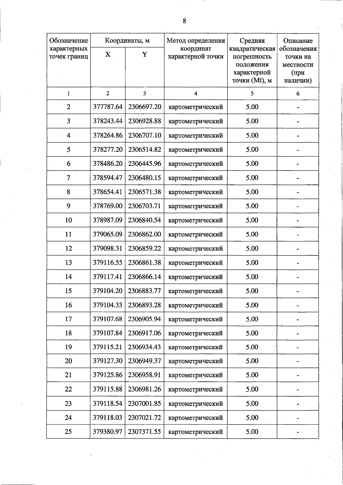
Постановление Правительства Тверской области от 25.12.2024 № 649-пп
"Об особо охраняемой природной территории регионального значения – государственном природном заказнике "Могильский Лес"
Номер опубликования: 6900202412280003
Дата опубликования: 28.12.2024
Страница №8 из 14:
Увеличить