Официальное опубликование правовых актов
ОФИЦИАЛЬНОЕ ОПУБЛИКОВАНИЕ
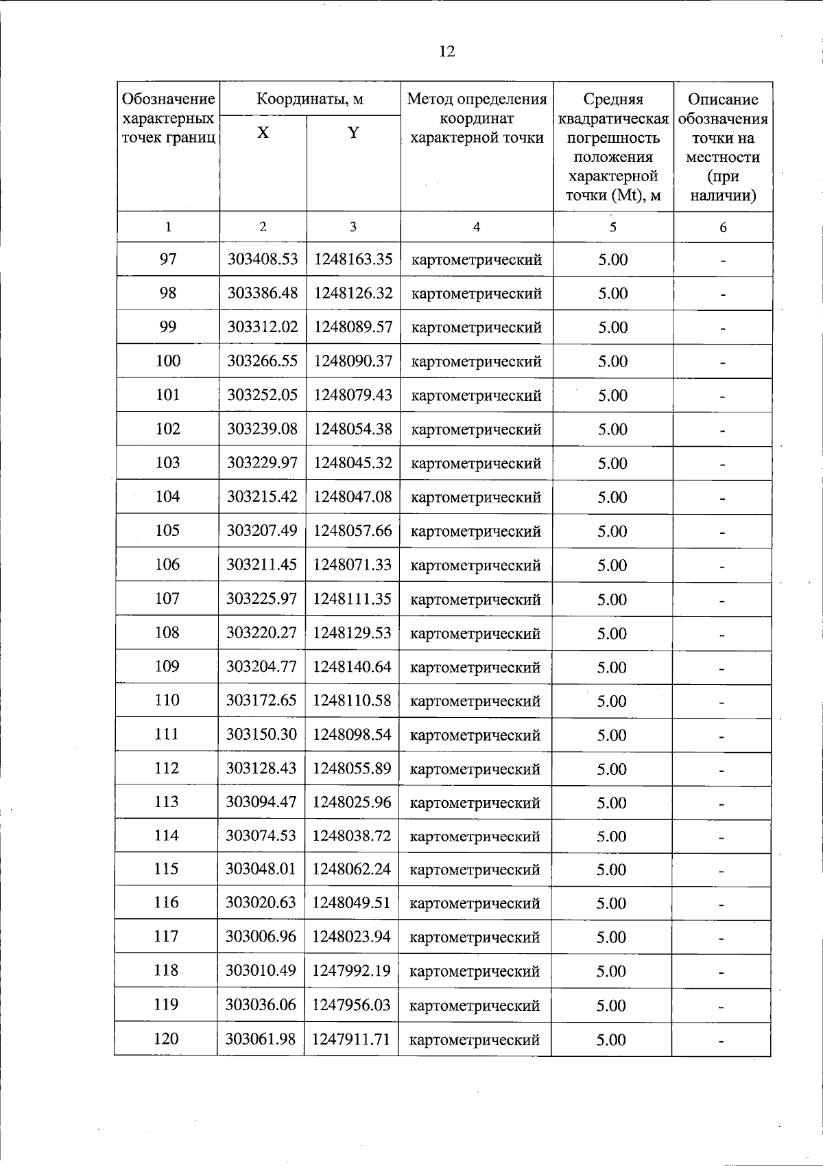
Постановление Правительства Тверской области от 17.12.2024 № 579-пп
"Об особо охраняемой природной территории регионального значения – государственном природном заказнике "Болото Большое Половское"
Номер опубликования: 6900202412170004
Дата опубликования: 17.12.2024
Страница №12 из 25:
Увеличить