Официальное опубликование правовых актов
ОФИЦИАЛЬНОЕ ОПУБЛИКОВАНИЕ
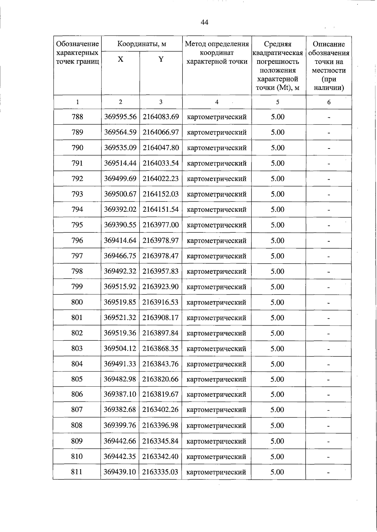
Постановление Правительства Тверской области от 17.12.2024 № 577-пп
"Об особо охраняемой природной территории регионального значения – государственном природном заказнике "Лесные массивы в междуречье рек Шлина, Крупица, Лонница, Речица"
Номер опубликования: 6900202412170002
Дата опубликования: 17.12.2024
Страница №44 из 56:
Увеличить