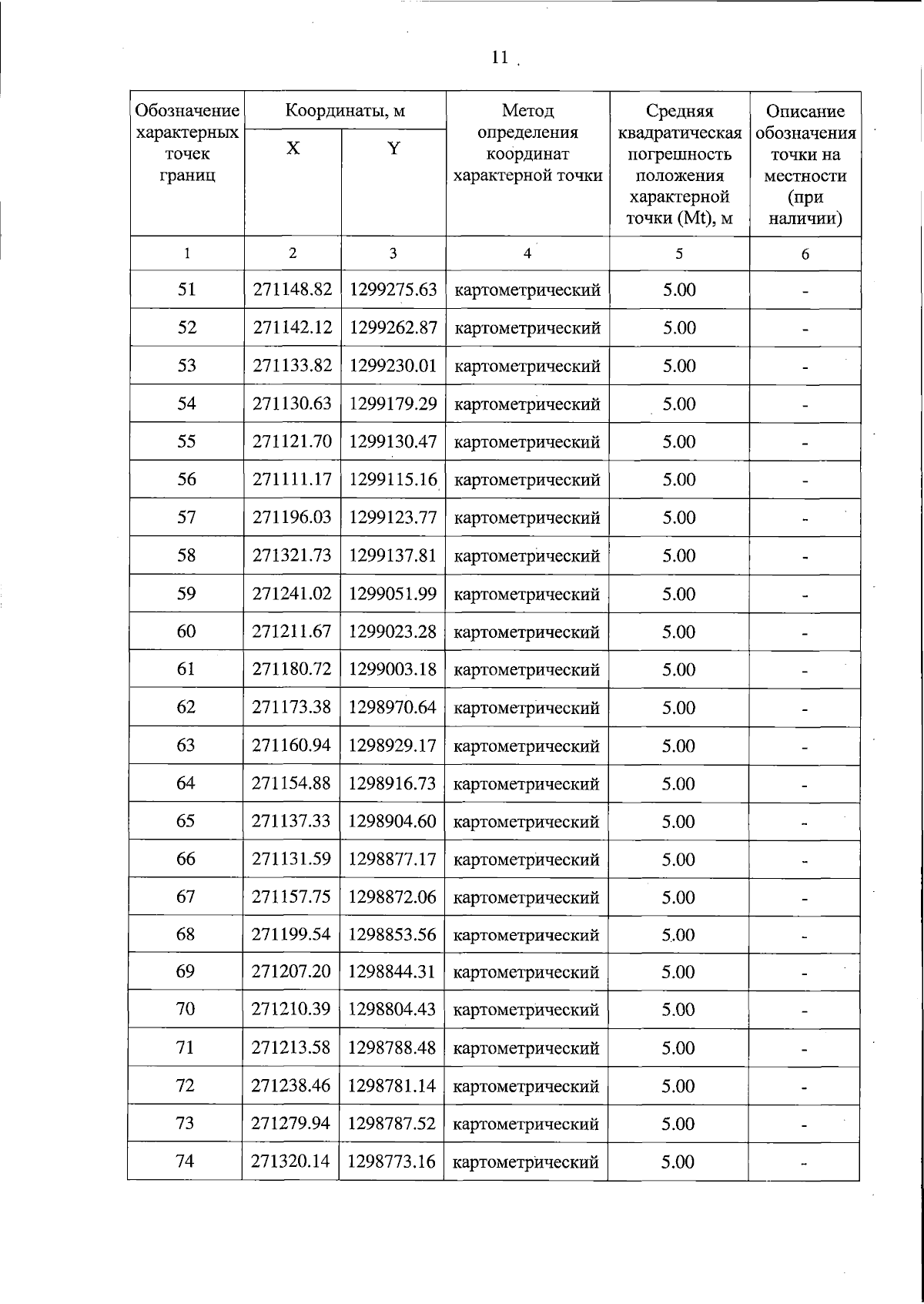
Постановление Правительства Тверской области от 17.12.2024 № 580-пп
"Об особо охраняемой природной территории регионального значения – государственном природном заказнике "Болото Зеленинское"
"Об особо охраняемой природной территории регионального значения – государственном природном заказнике "Болото Зеленинское"
Номер опубликования: 6900202412170001
Дата опубликования:
17.12.2024
