Официальное опубликование правовых актов
ОФИЦИАЛЬНОЕ ОПУБЛИКОВАНИЕ
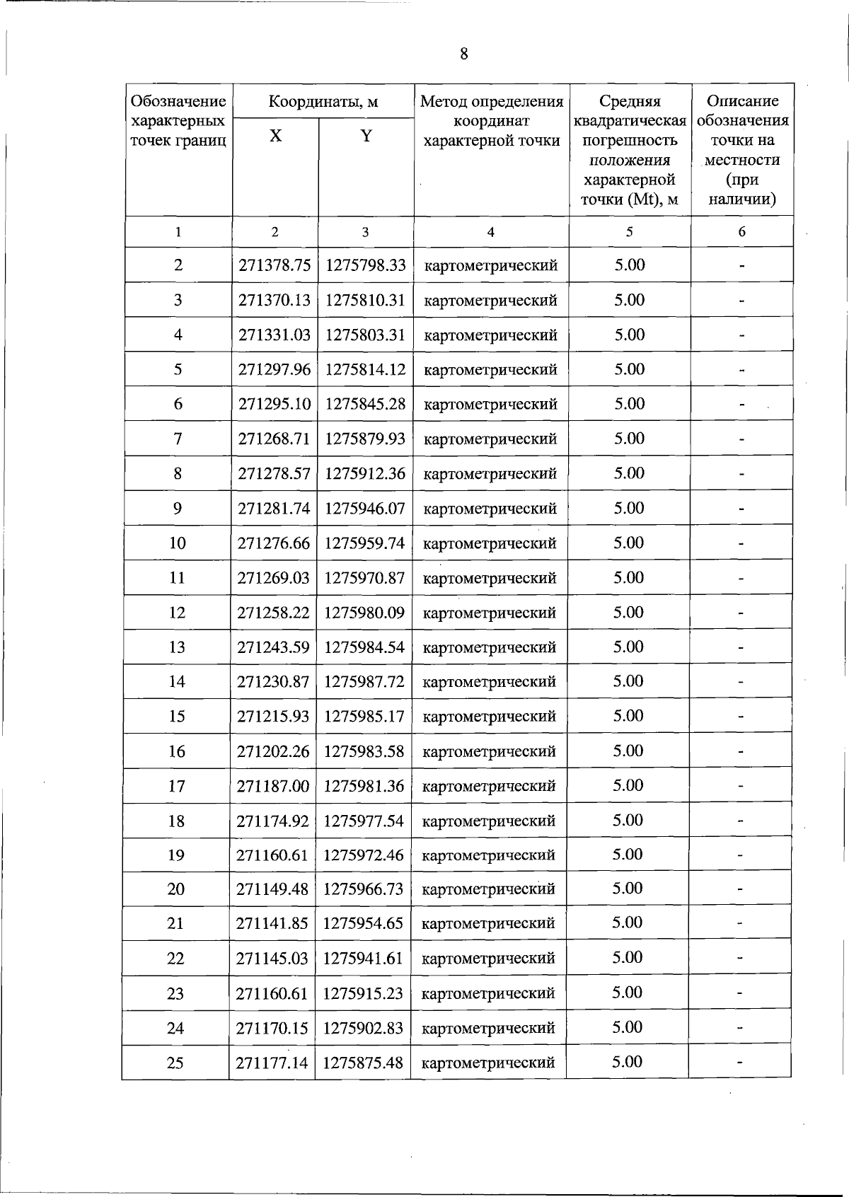
Постановление Правительства Тверской области от 06.12.2024 № 565-пп
"Об особо охраняемой природной территории регионального значения – государственном природном заказнике "Болото Гульневский Мох"
Номер опубликования: 6900202412100001
Дата опубликования: 10.12.2024
Страница №8 из 24:
Увеличить