Официальное опубликование правовых актов
ОФИЦИАЛЬНОЕ ОПУБЛИКОВАНИЕ
Постановление Правительства Тверской области от 14.10.2024 № 448-пп
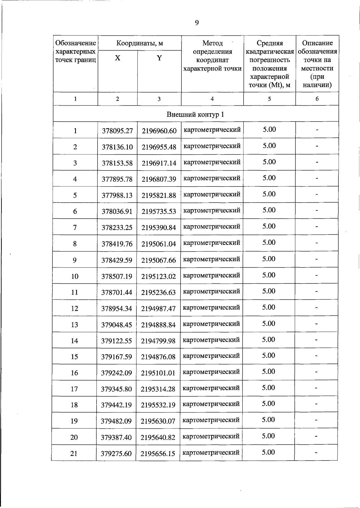
"Об особо охраняемой природной территории регионального значения – государственном природном заказнике "Болото у озер Шепелькино, Кричино и Щучье"
Номер опубликования: 6900202410150003
Дата опубликования: 15.10.2024
Страница №9 из 20:
Увеличить