Официальное опубликование правовых актов
ОФИЦИАЛЬНОЕ ОПУБЛИКОВАНИЕ
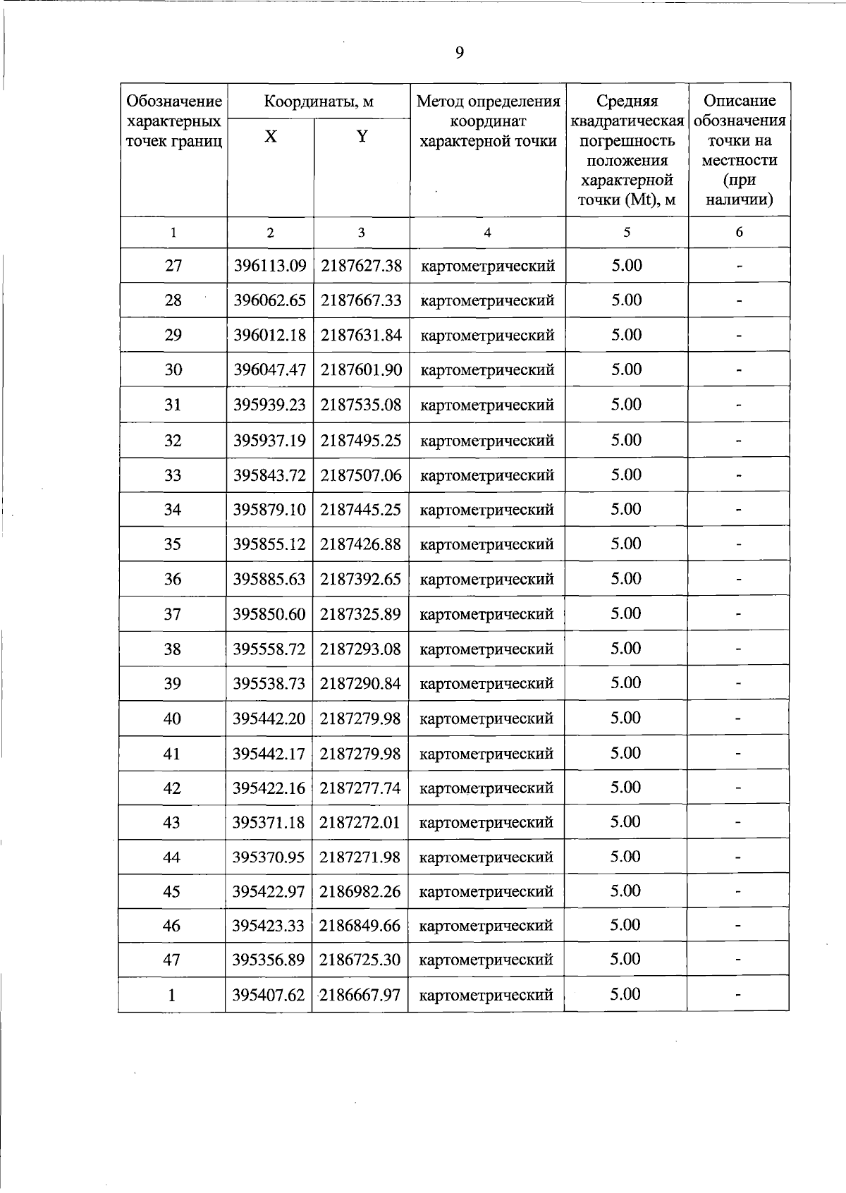
Постановление Правительства Тверской области от 14.10.2024 № 446-пп
"Об особо охраняемой природной территории регионального значения – государственном природном заказнике "Болото Мошники"
Номер опубликования: 6900202410150002
Дата опубликования: 15.10.2024
Страница №9 из 11:
Увеличить