Официальное опубликование правовых актов
ОФИЦИАЛЬНОЕ ОПУБЛИКОВАНИЕ
Постановление Правительства Тверской области от 27.09.2024 № 435-пп
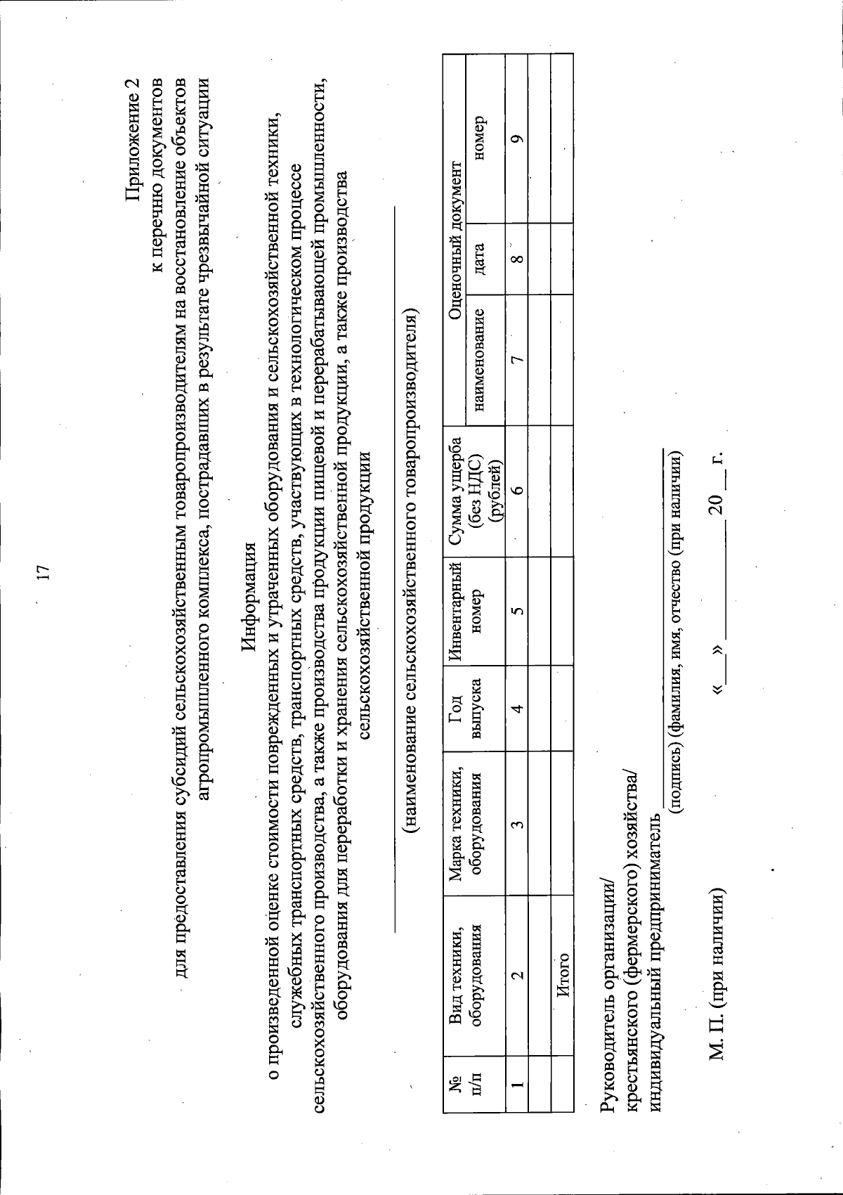
"О Порядке предоставления субсидий сельскохозяйственным товаропроизводителям на восстановление объектов агропромышленного комплекса, пострадавших в результате чрезвычайной ситуации"
Номер опубликования: 6900202409300012
Дата опубликования: 30.09.2024
Страница №17 из 20:
Увеличить