Официальное опубликование правовых актов
ОФИЦИАЛЬНОЕ ОПУБЛИКОВАНИЕ
Распоряжение Правительства Тверской области от 04.09.2024 № 1087-рп
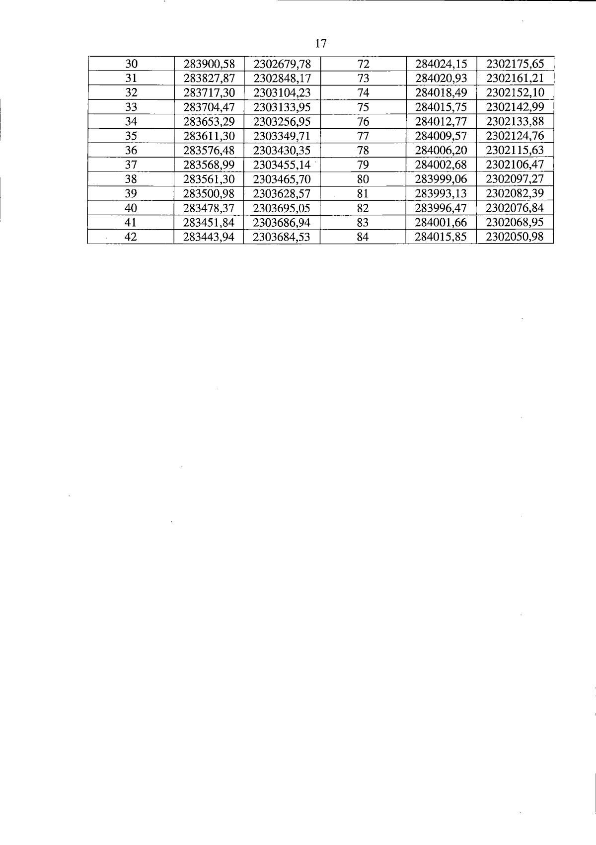
"Об утверждении документации по планировке территории линейного объекта "Строительство автомобильной дороги IV технической категории от автомобильной дороги общего пользования местного значения Лисицы – Мишнево до автомобильной дороги общего пользования межмуниципального значения Каблуково – Заборовье – турбаза "Лисицкий Бор" в Калининском муниципальном округе Тверской области"
Номер опубликования: 6900202409050007
Дата опубликования: 05.09.2024
Страница №17 из 41:
Увеличить