Официальное опубликование правовых актов
ОФИЦИАЛЬНОЕ ОПУБЛИКОВАНИЕ
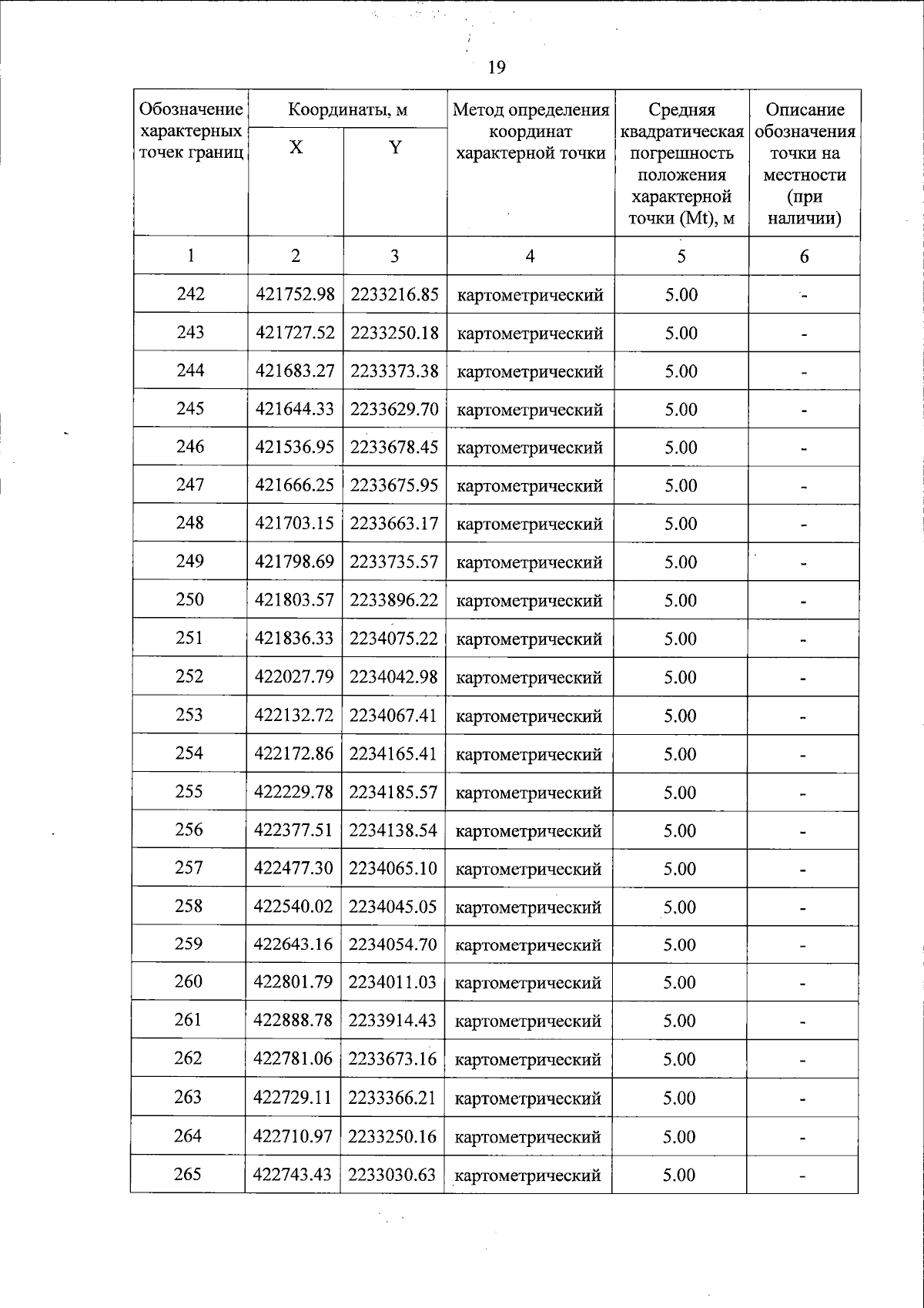
Постановление Правительства Тверской области от 11.07.2024 № 338-пп
"Об утверждении Паспорта особо охраняемой природной территории регионального значения – памятника природы "Озеро Кезадра и лесные насаждения вокруг него"
Номер опубликования: 6900202407160021
Дата опубликования: 16.07.2024
Страница №19 из 23:
Увеличить