Официальное опубликование правовых актов
ОФИЦИАЛЬНОЕ ОПУБЛИКОВАНИЕ
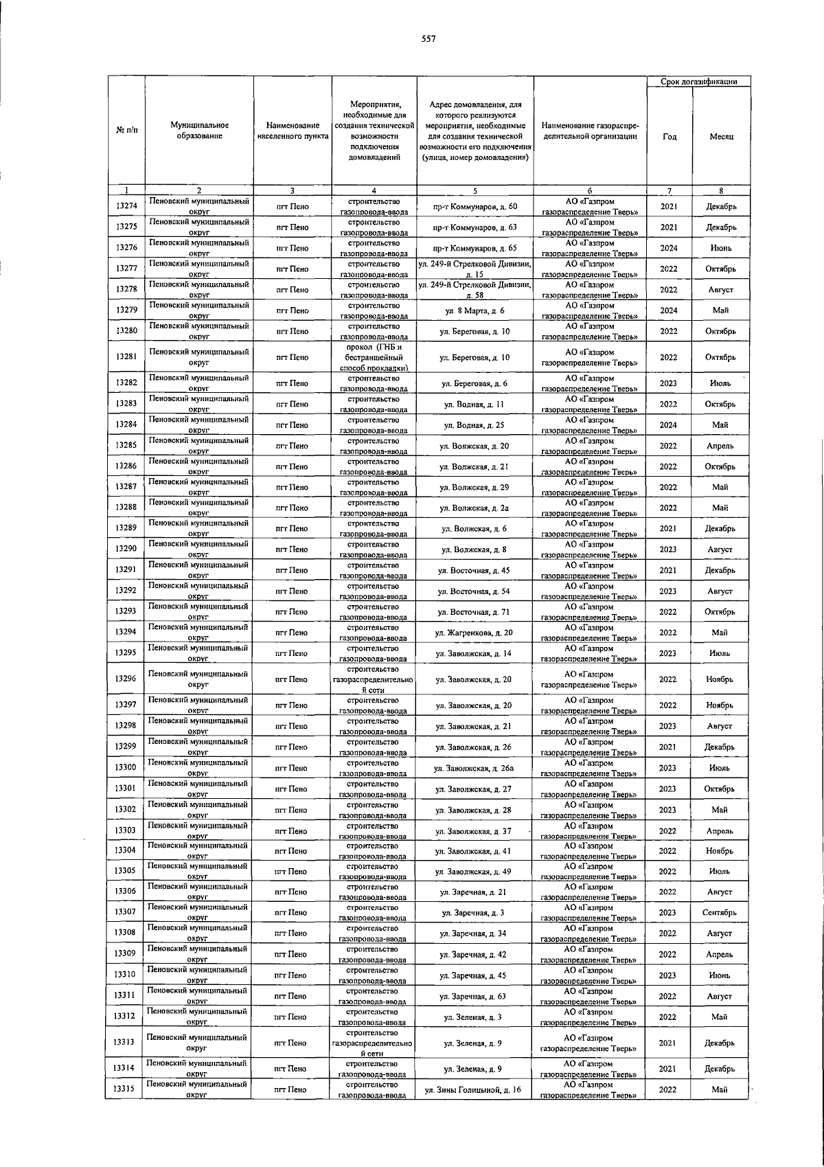
Постановление Губернатора Тверской области от 16.05.2024 № 14-пг
"О внесении изменений в постановление Губернатора Тверской области от 13.02.2020 № 10-пг"
Номер опубликования: 6900202405200001
Дата опубликования: 20.05.2024
Страница №557 из 621:
Увеличить