Официальное опубликование правовых актов
ОФИЦИАЛЬНОЕ ОПУБЛИКОВАНИЕ
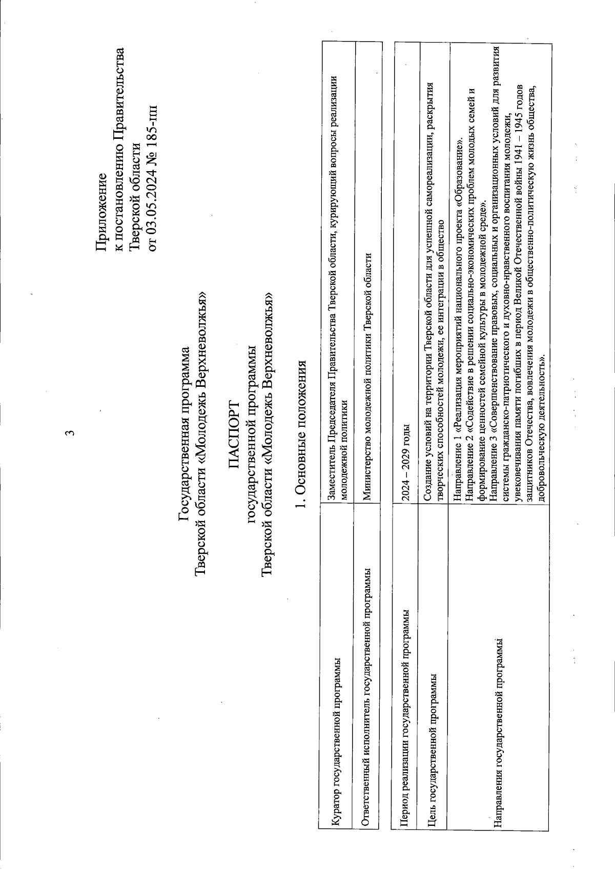
Постановление Правительства Тверской области от 03.05.2024 № 185-пп
"О государственной программе Тверской области "Молодежь Верхневолжья"
Номер опубликования: 6900202405070013
Дата опубликования: 07.05.2024
Страница №3 из 122:
Увеличить