Официальное опубликование правовых актов
ОФИЦИАЛЬНОЕ ОПУБЛИКОВАНИЕ
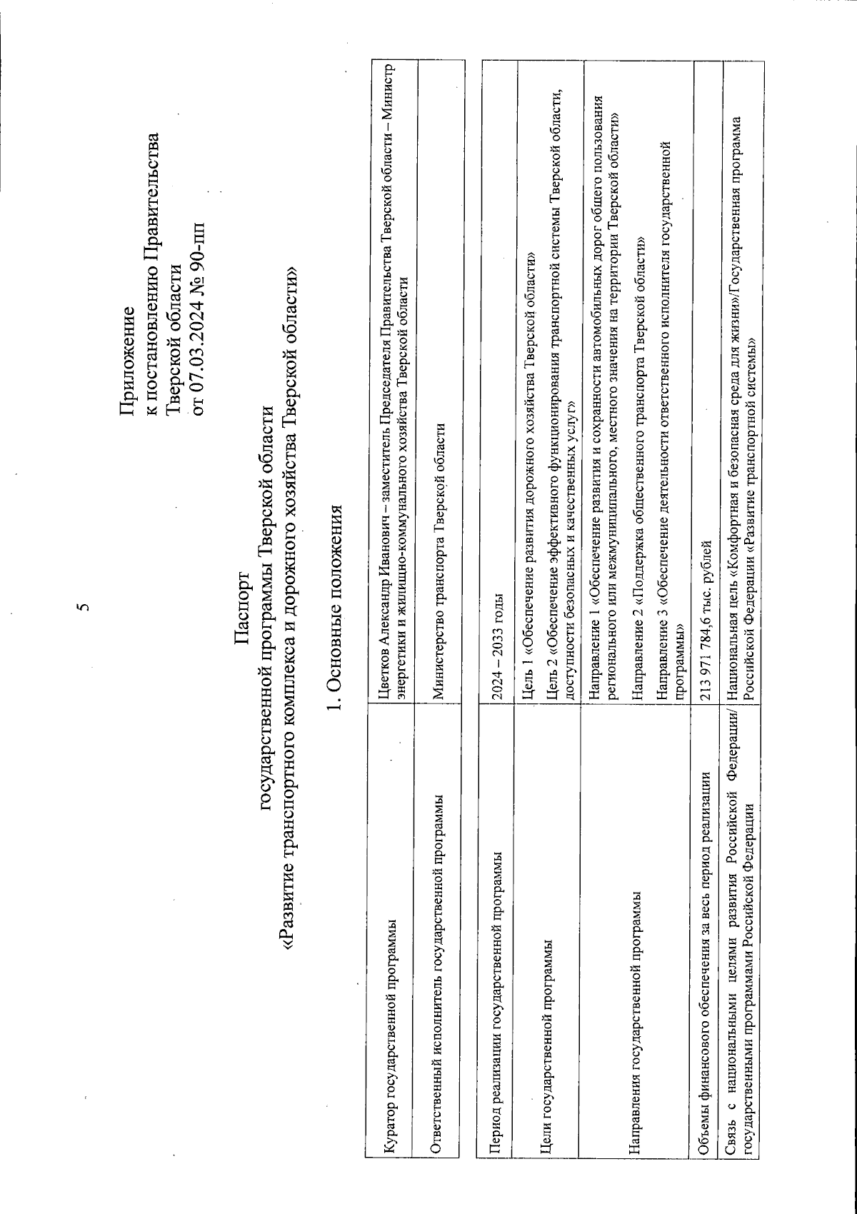
Постановление Правительства Тверской области от 07.03.2024 № 90-пп
"О государственной программе Тверской области "Развитие транспортного комплекса и дорожного хозяйства Тверской области"
Номер опубликования: 6900202403110010
Дата опубликования: 11.03.2024
Страница №5 из 142:
Увеличить