Официальное опубликование правовых актов
ОФИЦИАЛЬНОЕ ОПУБЛИКОВАНИЕ
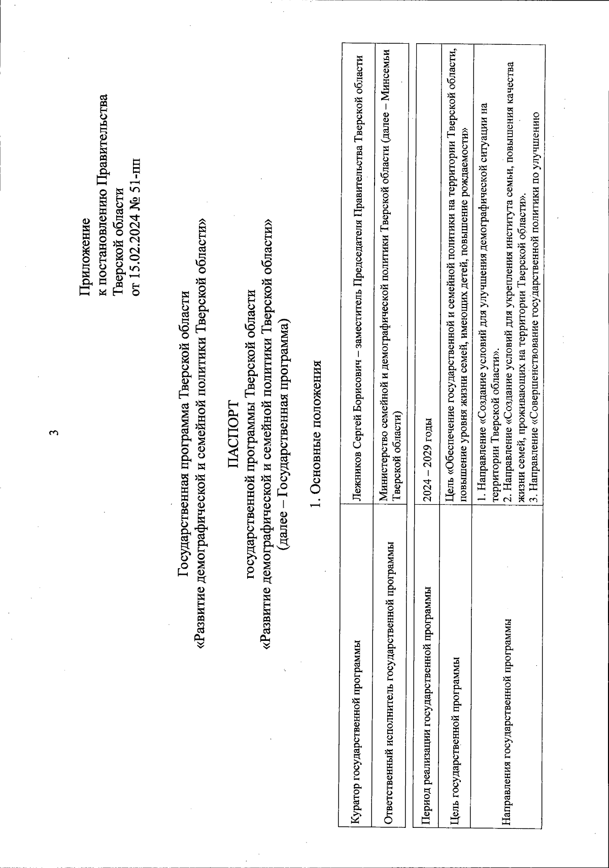
Постановление Правительства Тверской области от 15.02.2024 № 51-пп
"О государственной программе Тверской области "Развитие демографической и семейной политики Тверской области"
Номер опубликования: 6900202402150008
Дата опубликования: 15.02.2024
Страница №3 из 58:
Увеличить