Официальное опубликование правовых актов
ОФИЦИАЛЬНОЕ ОПУБЛИКОВАНИЕ
Постановление Правительства Тверской области от 26.01.2024 № 26-пп
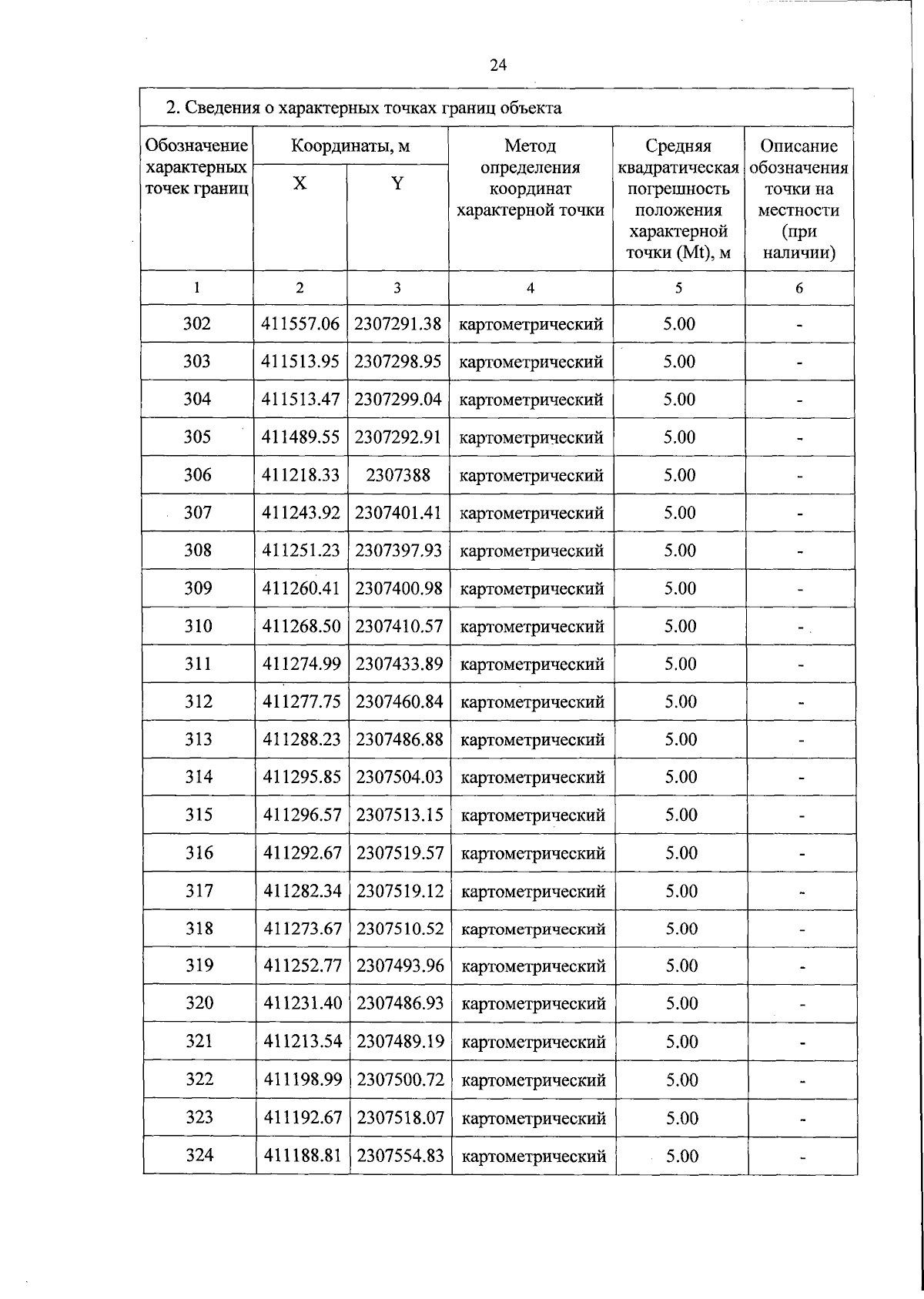
"Об особо охраняемой природной территории регионального значения – государственном природном заказнике "Озеро Верестово"
Номер опубликования: 6900202401290014
Дата опубликования: 29.01.2024
Страница №24 из 58:
Увеличить