Официальное опубликование правовых актов
ОФИЦИАЛЬНОЕ ОПУБЛИКОВАНИЕ
Постановление Правительства Тверской области от 26.01.2024 № 30-пп
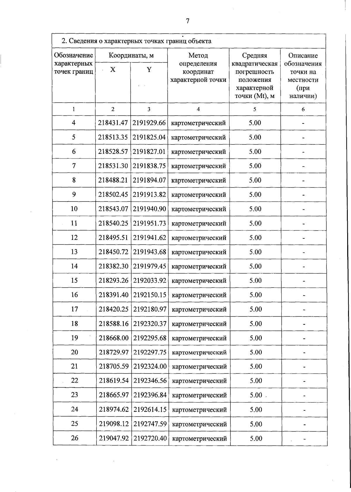
"Об утверждении Паспорта особо охраняемой природной территории регионального значения – памятника природы "Овраг Свининский"
Номер опубликования: 6900202401290009
Дата опубликования: 29.01.2024
Страница №7 из 10:
Увеличить