Официальное опубликование правовых актов
ОФИЦИАЛЬНОЕ ОПУБЛИКОВАНИЕ
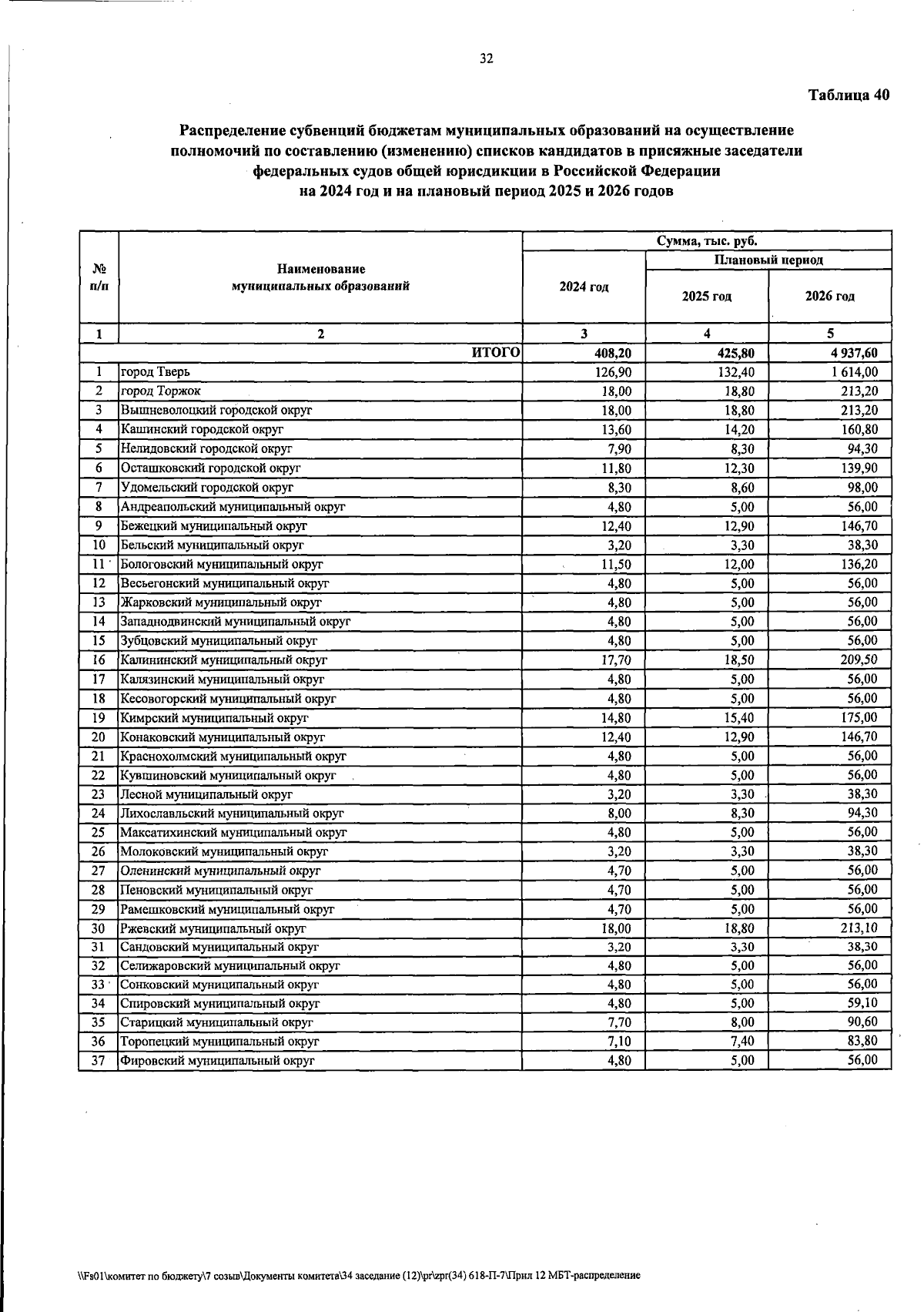
Закон Тверской области от 28.12.2023 № 87-ЗО
"Об областном бюджете Тверской области на 2024 год и на плановый период 2025 и 2026 годов"
Номер опубликования: 6900202312290002
Дата опубликования: 29.12.2023
Страница №461 из 519:
Увеличить