Официальное опубликование правовых актов
ОФИЦИАЛЬНОЕ ОПУБЛИКОВАНИЕ
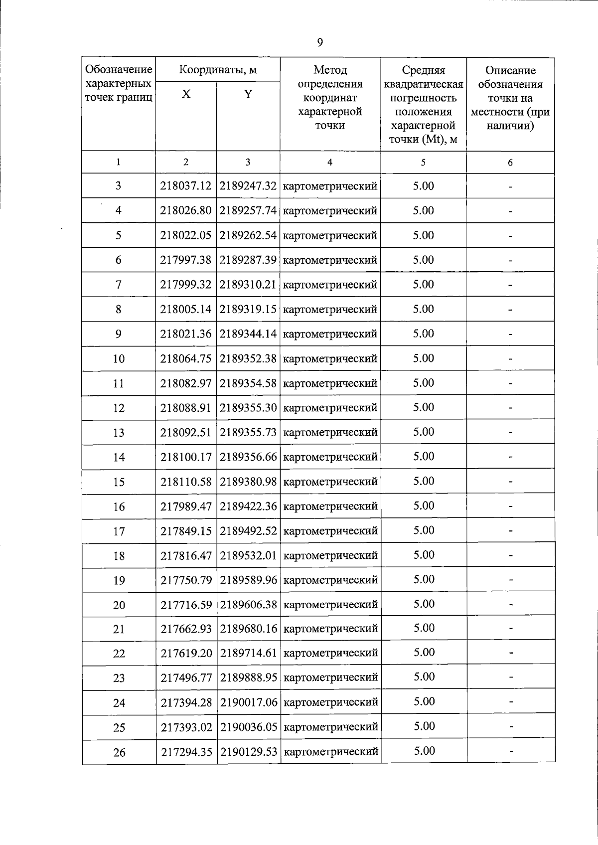
Постановление Правительства Тверской области от 22.12.2023 № 632-пп
"Об особо охраняемой природной территории регионального значения – памятнике природы "Овраги Матюковские"
Номер опубликования: 6900202312250070
Дата опубликования: 25.12.2023
Страница №9 из 18:
Увеличить