Официальное опубликование правовых актов
ОФИЦИАЛЬНОЕ ОПУБЛИКОВАНИЕ
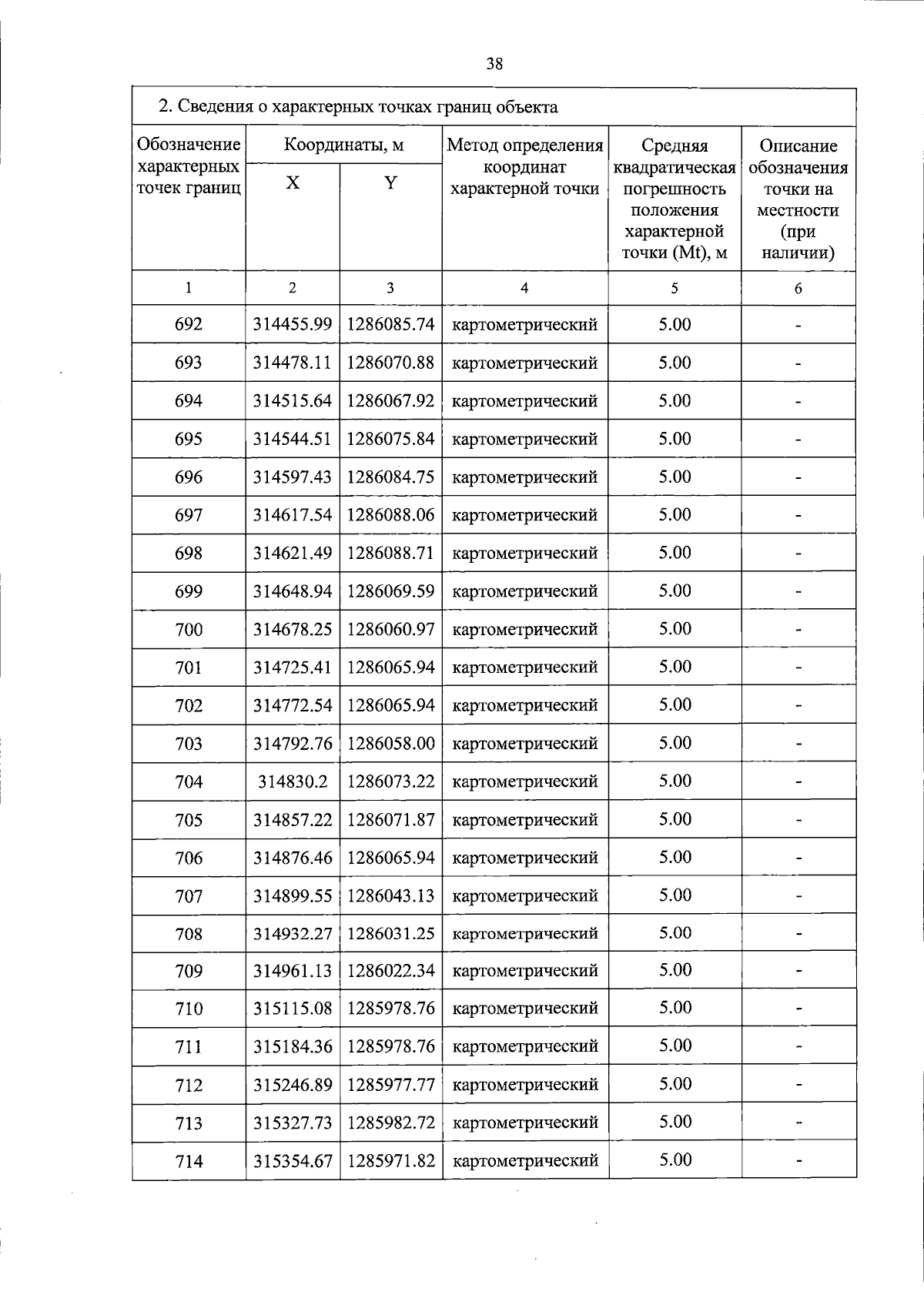
Постановление Правительства Тверской области от 22.12.2023 № 621-пп
"Об утверждении Положения об особо охраняемой природной территории регионального значения – государственном природном заказнике "Озеро Сиг"
Номер опубликования: 6900202312250043
Дата опубликования: 25.12.2023
Страница №38 из 42:
Увеличить