Официальное опубликование правовых актов
ОФИЦИАЛЬНОЕ ОПУБЛИКОВАНИЕ
Постановление Правительства Тверской области от 22.12.2023 № 628-пп
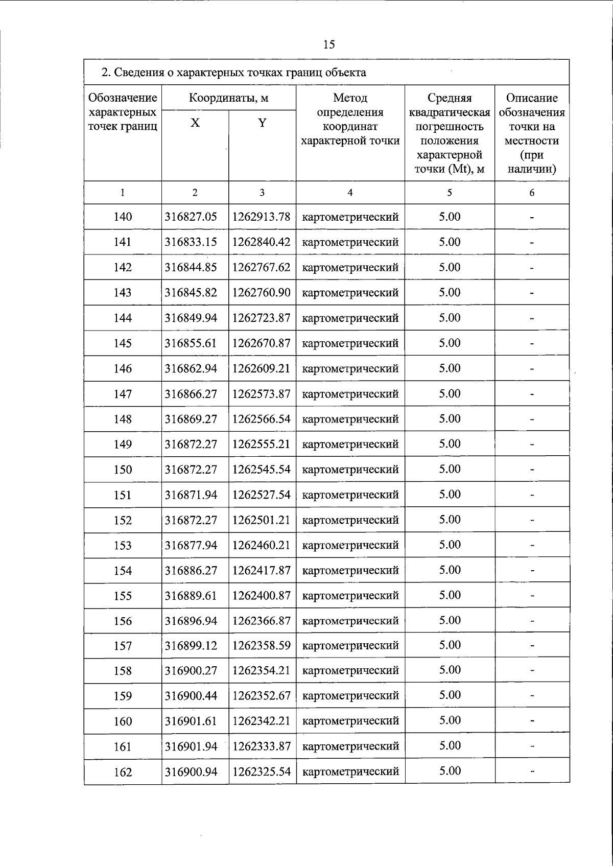
"Об утверждении Паспорта особо охраняемой природной территории регионального значения – памятника природы "Бор Косицкий"
Номер опубликования: 6900202312250035
Дата опубликования: 25.12.2023
Страница №15 из 22:
Увеличить