Официальное опубликование правовых актов
ОФИЦИАЛЬНОЕ ОПУБЛИКОВАНИЕ
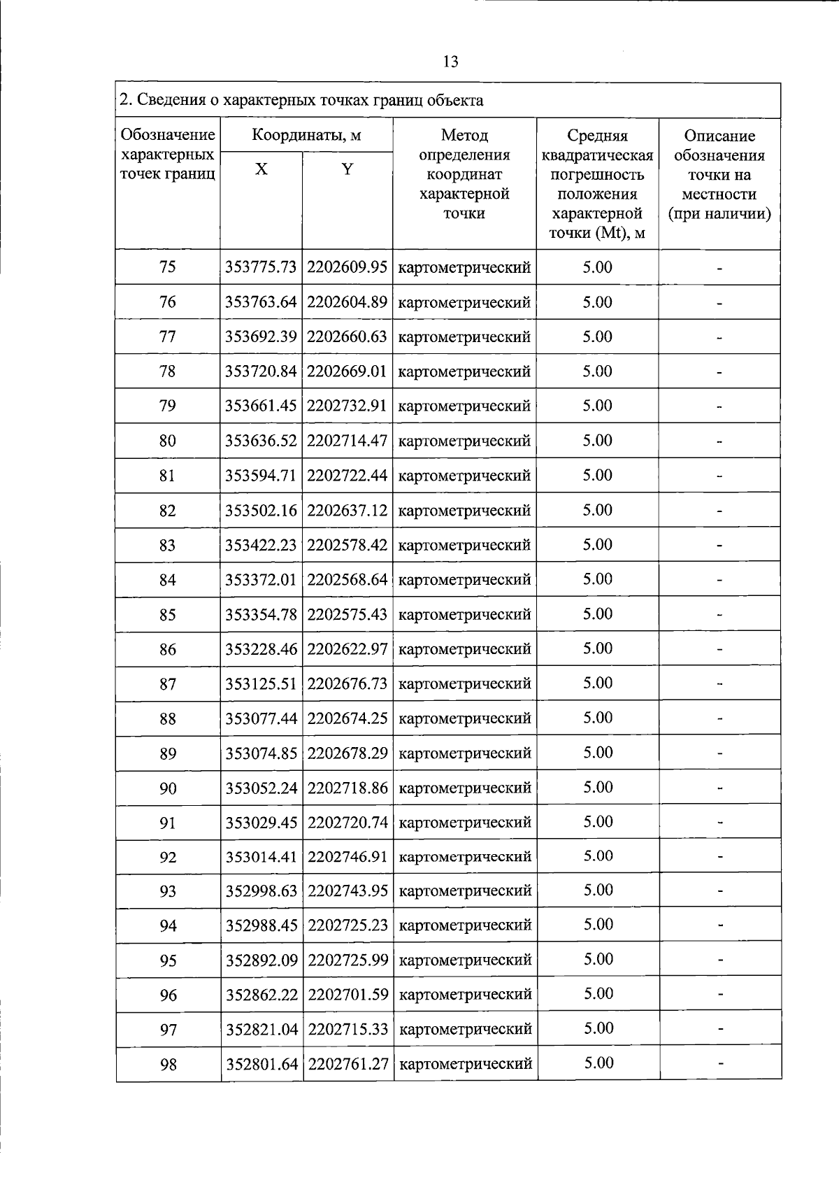
Постановление Правительства Тверской области от 21.12.2023 № 588-пп
"Об утверждении Паспорта особо охраняемой природной территории регионального значения – памятника природы "Войбутская гора"
Номер опубликования: 6900202312250019
Дата опубликования: 25.12.2023
Страница №13 из 20:
Увеличить