Официальное опубликование правовых актов
ОФИЦИАЛЬНОЕ ОПУБЛИКОВАНИЕ
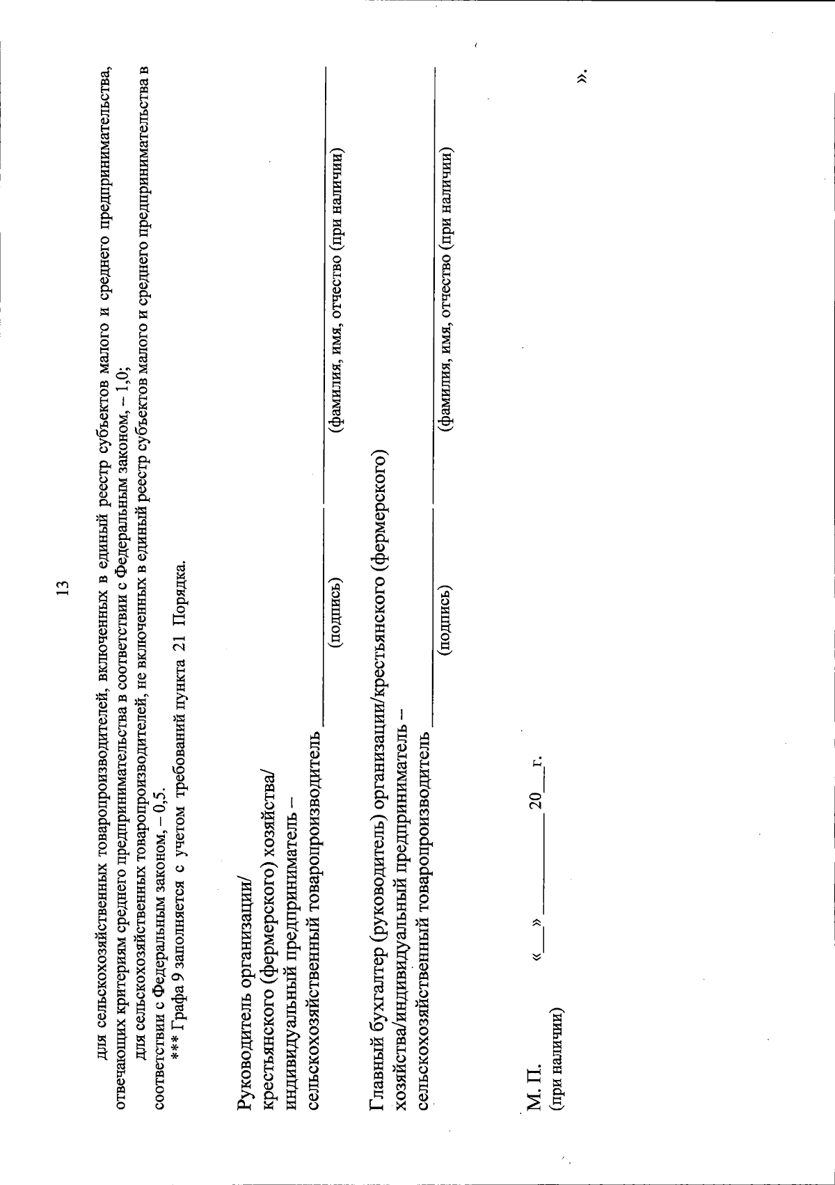
Постановление Правительства Тверской области от 01.12.2023 № 512-пп
"О внесении изменений в отдельные постановления Правительства Тверской области"
Номер опубликования: 6900202312040007
Дата опубликования: 04.12.2023
Страница №13 из 19:
Увеличить