Официальное опубликование правовых актов
ОФИЦИАЛЬНОЕ ОПУБЛИКОВАНИЕ
Распоряжение Правительства Тверской области от 27.11.2023 № 1470-рп
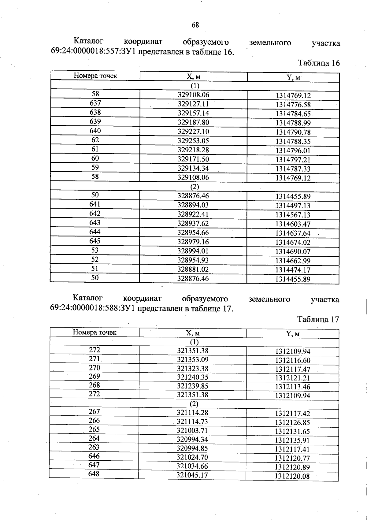
"Об утверждении документации по планировке территории линейного объекта "Реконструкция автомобильной дороги общего пользования межмуниципального значения Большое Эскино – Трестино – Жданово в Осташковском городском округе и Фировском районе Тверской области (на участке км 9+300 – км 49+900)" 3 этап с км 33+577 по км 47+433"
Номер опубликования: 6900202311280002
Дата опубликования: 28.11.2023
Страница №68 из 84:
Увеличить