Официальное опубликование правовых актов
ОФИЦИАЛЬНОЕ ОПУБЛИКОВАНИЕ
Распоряжение Правительства Тверской области от 23.10.2023 № 1327-рп
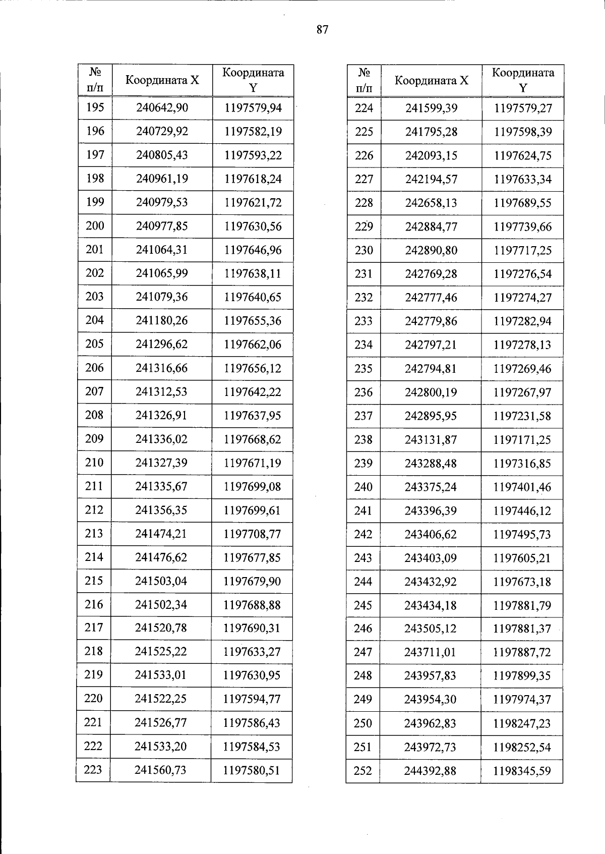
"Об утверждении документации по планировке территории линейного объекта "Газопровод межпоселковый г. Западная Двина Западнодвинского района Тверской области – г. Торопец Торопецкого района Тверской области"
Номер опубликования: 6900202310240002
Дата опубликования: 24.10.2023
Страница №87 из 189:
Увеличить