Официальное опубликование правовых актов
ОФИЦИАЛЬНОЕ ОПУБЛИКОВАНИЕ
Постановление Губернатора Тверской области от 20.10.2023 № 62-пг
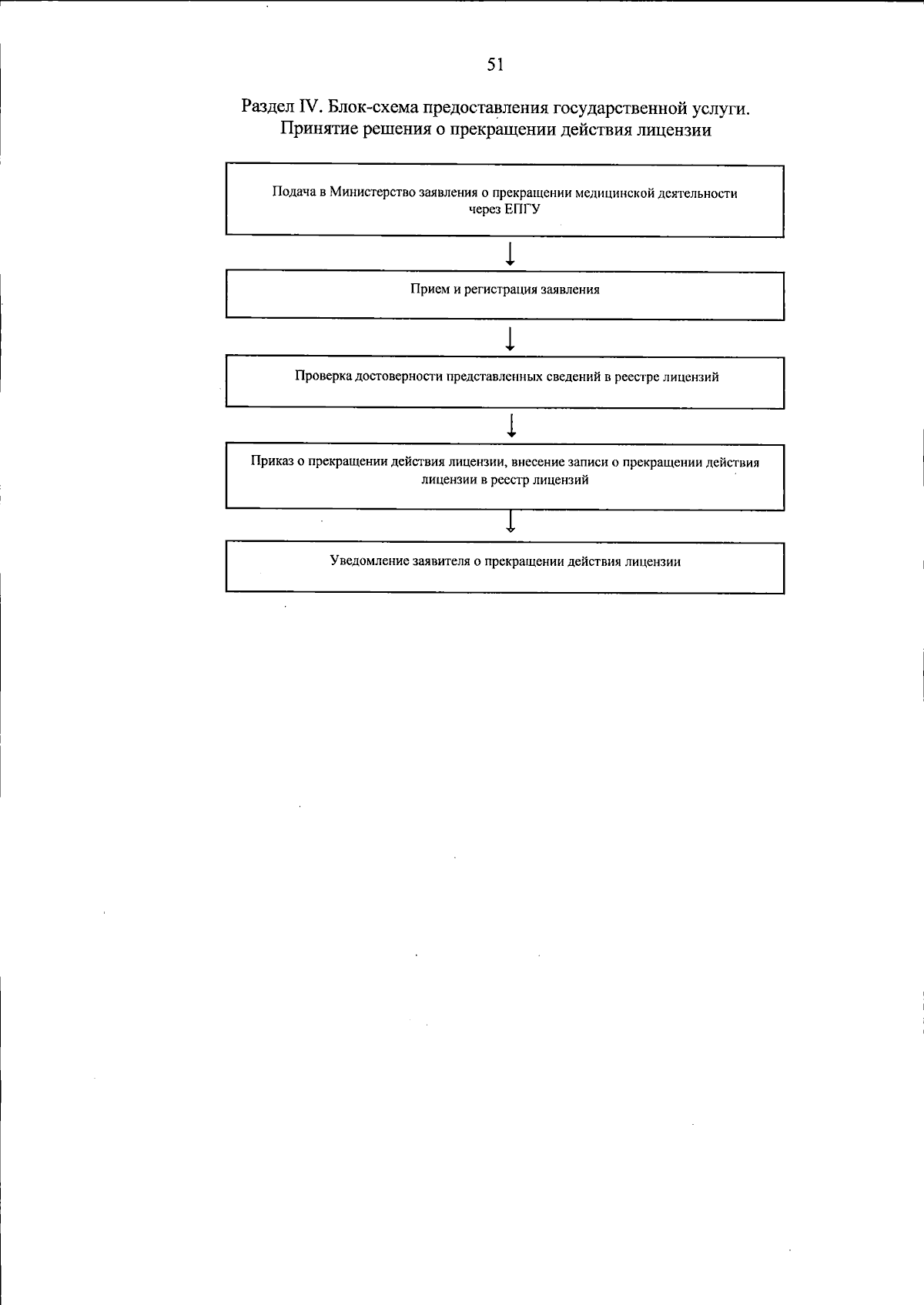
"Об утверждении административного регламента предоставления государственной услуги "Лицензирование медицинской деятельности медицинских организаций (за исключением медицинских организаций, подведомственных федеральным органам исполнительной власти)"
Номер опубликования: 6900202310230006
Дата опубликования: 23.10.2023
Страница №51 из 52:
Увеличить