Официальное опубликование правовых актов
ОФИЦИАЛЬНОЕ ОПУБЛИКОВАНИЕ
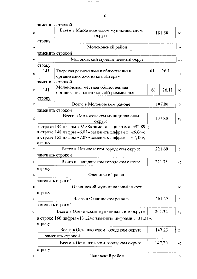
Постановление Губернатора Тверской области от 30.06.2023 № 40-пг
"О внесении изменений в постановление Губернатора Тверской области от 24.04.2019 № 27-пг"
Номер опубликования: 6900202307030002
Дата опубликования: 03.07.2023
Страница №10 из 690:
Увеличить