Официальное опубликование правовых актов
ОФИЦИАЛЬНОЕ ОПУБЛИКОВАНИЕ
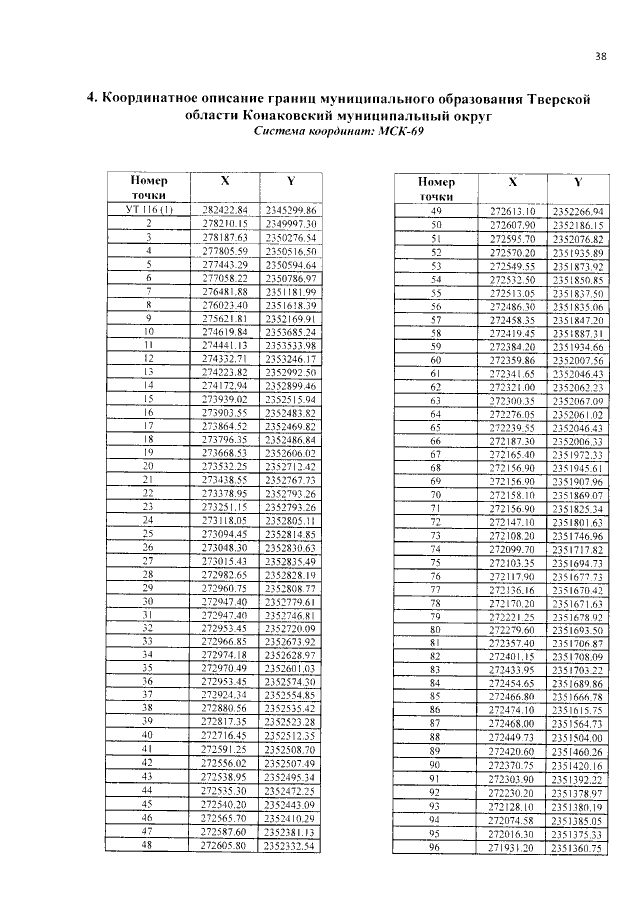
Закон Тверской области от 04.05.2023 № 17-ЗО
"О преобразовании муниципальных образований, входящих в состав территории муниципального образования Тверской области Конаковский муниципальный район, путем объединения поселений и создании вновь образованного муниципального образования с наделением его статусом муниципального округа и внесении изменений в отдельные законы Тверской области"
Номер опубликования: 6900202305040001
Дата опубликования: 04.05.2023
Страница №38 из 58:
Увеличить