Официальное опубликование правовых актов
ОФИЦИАЛЬНОЕ ОПУБЛИКОВАНИЕ
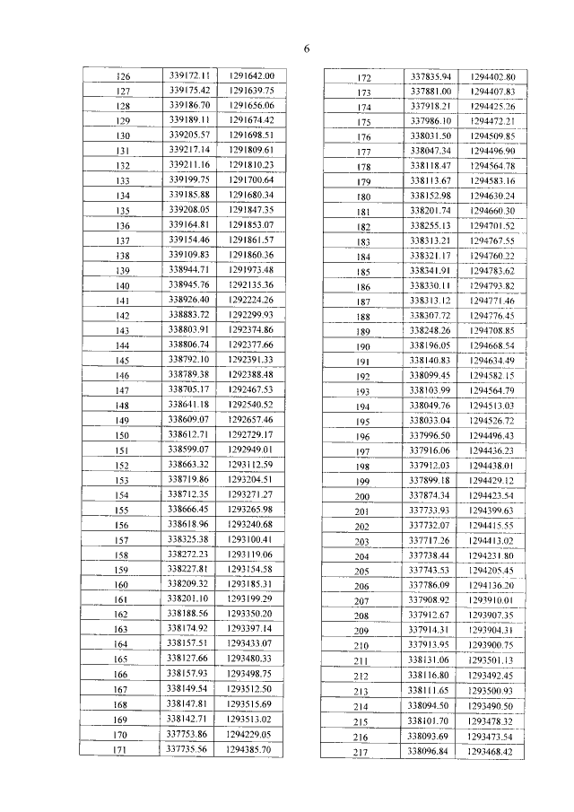
Распоряжение Правительства Тверской области от 25.04.2023 № 443-рп
"Об утверждении документации по планировке территории линейного объекта "Газопровод межпоселковый д. Троеручица – д. Зальцо – д. Кравотынь – д. Лежнево Осташковского городского округа Тверской области"
Номер опубликования: 6900202304270016
Дата опубликования: 27.04.2023
Страница №6 из 61:
Увеличить