Официальное опубликование правовых актов
ОФИЦИАЛЬНОЕ ОПУБЛИКОВАНИЕ
Закон Тверской области от 13.04.2023 № 14-ЗО
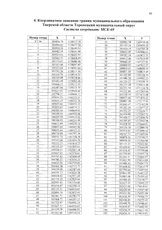
"О преобразовании муниципальных образований, входящих в состав территории муниципального образования Тверской области Торопецкий муниципальный район, путем объединения поселений и создании вновь образованного муниципального образования с наделением его статусом муниципального округа и внесении изменений в отдельные законы Тверской области"
Номер опубликования: 6900202304170002
Дата опубликования: 17.04.2023
Страница №40 из 98:
Увеличить