Официальное опубликование правовых актов
ОФИЦИАЛЬНОЕ ОПУБЛИКОВАНИЕ
Распоряжение Правительства Тверской области от 13.04.2023 № 398-рп
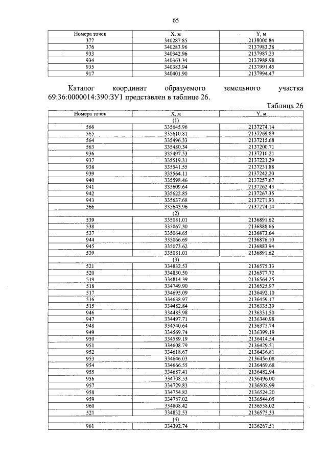
"Об утверждении документации по планировке территории линейного объекта "Реконструкция автомобильной дороги общего пользования межмуниципального значения Большое Эскино – Трестино – Жданово в Осташковском городском округе и Фировском районе Тверской области (на участке км 9+300 – км 49+900)" 2 этап с км 17+424 по км 33+577"
Номер опубликования: 6900202304140001
Дата опубликования: 14.04.2023
Страница №65 из 97:
Увеличить