Официальное опубликование правовых актов
ОФИЦИАЛЬНОЕ ОПУБЛИКОВАНИЕ
Распоряжение Правительства Тверской области от 29.12.2022 № 1484-рп
"Об утверждении документации по планировке территории планируемой к созданию особой экономической зоны "Эммаусс" в границах населенного пункта деревни Пасынково Эммаусского сельского поселения Калининского муниципального района Тверской области (1 этап)"
Номер опубликования: 6900202212310030
Дата опубликования: 31.12.2022
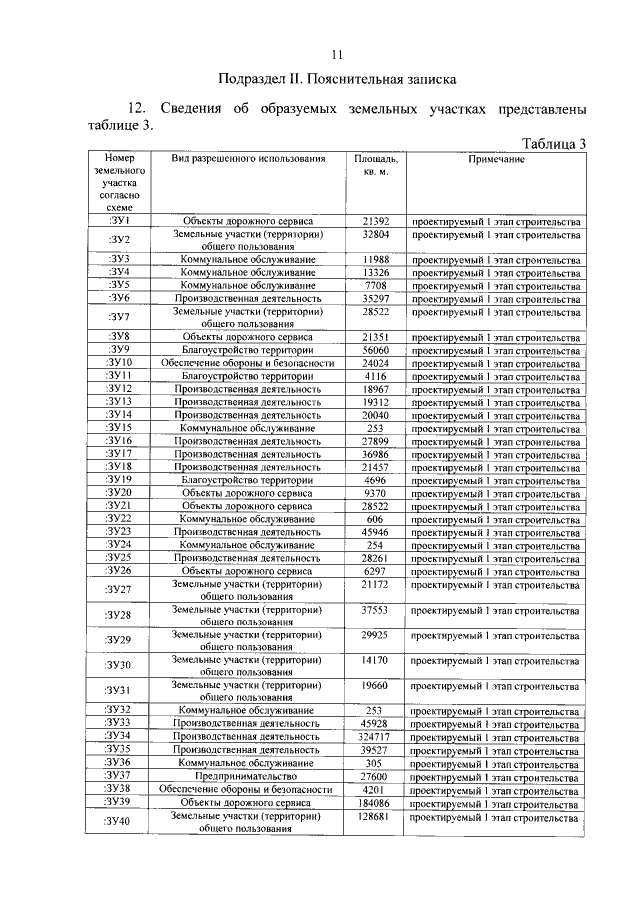
Страница №11 из 11:
Увеличить