Официальное опубликование правовых актов
ОФИЦИАЛЬНОЕ ОПУБЛИКОВАНИЕ
Постановление Губернатора Тверской области от 13.10.2022 № 68-пг
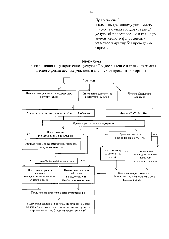
"Об административном регламенте предоставления государственной услуги "Предоставление в границах земель лесного фонда лесных участков в аренду без проведения торгов"
Номер опубликования: 6900202210140014
Дата опубликования: 14.10.2022
Страница №46 из 46:
Увеличить