Официальное опубликование правовых актов
ОФИЦИАЛЬНОЕ ОПУБЛИКОВАНИЕ
Постановление Правительства Тверской области от 08.06.2022 № 322-пп
"Об особо охраняемой природной территории регионального значения – государственном природном заказнике "Бор Клетинский"
Номер опубликования: 6900202206090011
Дата опубликования: 09.06.2022
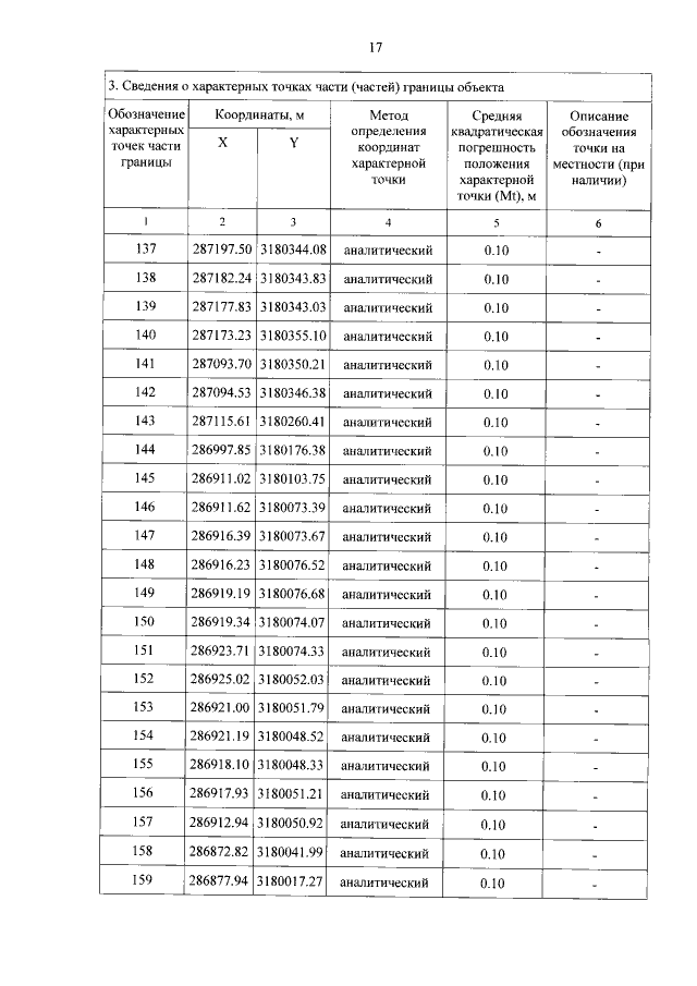
Страница №17 из 26:
Увеличить