Официальное опубликование правовых актов
ОФИЦИАЛЬНОЕ ОПУБЛИКОВАНИЕ
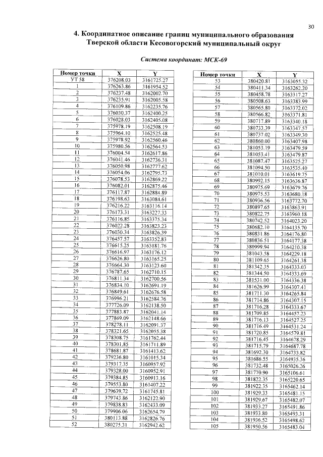
Закон Тверской области от 07.04.2022 № 10-ЗО
"О преобразовании муниципальных образований, входящих в состав территории муниципального образования Тверской области Кесовогорский муниципальный район, путем объединения поселений и создании вновь образованного муниципального образования с наделением его статусом муниципального округа и внесении изменений в отдельные законы Тверской области"
Номер опубликования: 6900202204080004
Дата опубликования: 08.04.2022
Страница №30 из 66:
Увеличить