Официальное опубликование правовых актов
ОФИЦИАЛЬНОЕ ОПУБЛИКОВАНИЕ
Постановление Правительства Тверской области от 11.02.2022 № 87-пп
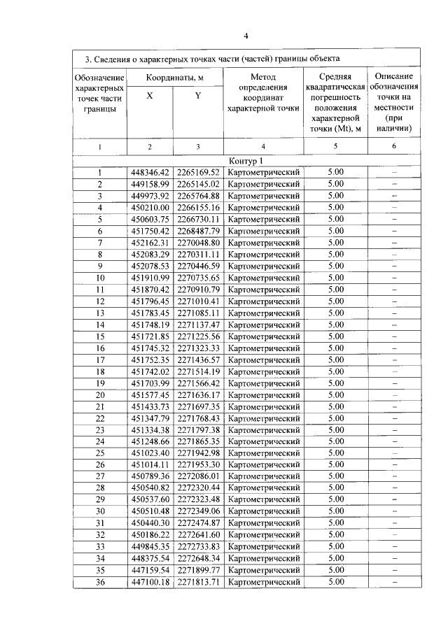
"Об утверждении графического описания местоположения границ особо охраняемой природной территории регионального значения – государственного природного заказника "Болото Сушигорицкое"
Номер опубликования: 6900202202150013
Дата опубликования: 15.02.2022
Страница №4 из 9:
Увеличить