Постановление Правительства Тверской области от 11.02.2022 № 92-пп
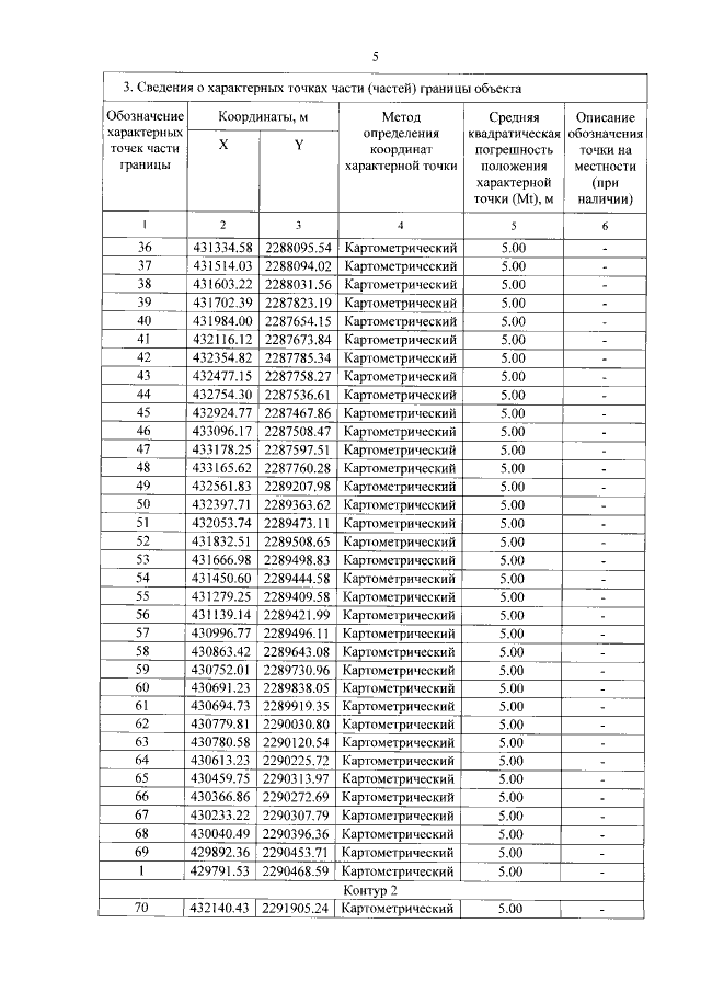
"Об утверждении графического описания местоположения границ особо охраняемой природной территории регионального значения – государственного природного заказника "Болото Красное"
"Об утверждении графического описания местоположения границ особо охраняемой природной территории регионального значения – государственного природного заказника "Болото Красное"
Номер опубликования: 6900202202150006
Дата опубликования:
15.02.2022
